New bioactive triaryl triglyceride esters: Synthesis, characterization and biological activities

Keywords: Antimicrobial, Glycerol, Synthesis, Triglycerides, Urease inhibition
DOI: 10.3329/bjp.v13i4.37210

Abstract

Four new bioactive aryl triester derivatives of glycerol and benzoic acids were synthesized. The synthetic compounds were studied for their antimicrobial and urease inhibition activities. Esterification was carried out by using carbonyldiimidazole to enhance the acyl elimination addition reaction with benzoic acid derivatives. The structure of triglycerides were studied by EI-MS, 1H, 13C-NMR, FT-IR and elemental analysis. All synthetic compounds showed urease inhibition activity with highest value of IC50 value 22.4 ± 0.45 μM which is nearest to standard thiourea IC50 value (21.6 ± 0.12 μM).  Except compound (3d), all other compounds exhibited antimicrobial activity against Streptococcus pneumoniae, Staphylococcus epidermidis, Bacillus pumilus, Escherichia coli, Pseudomonas aeruginosa and Candida albican.

Introduction

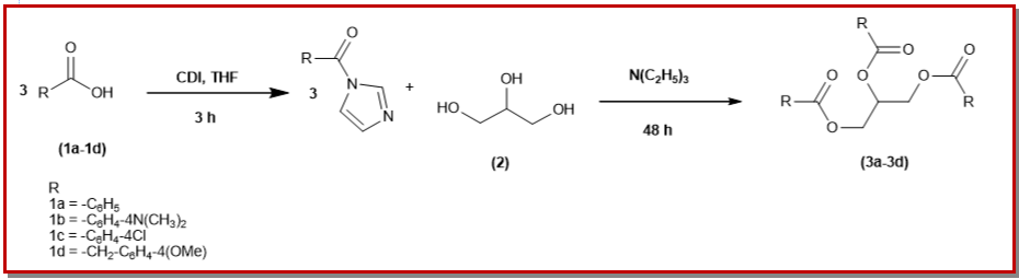
Triglycerides are esterified products of glycerol with fatty acids. They are the main constituents in human, animals and plants as the form of oil, fats and lipids (Nelson and Cox, 2000). In body, liver cell synthesizes certain triglycerides and store the fatty acid as the source of energy (White and Venkatesh, 2011). They are also used as lubricants, emulsifiers and plasticizers in cosmetic, food, chemical and pharmaceutical industry (Macierzanka and Szelag, 2004).  In literature, many synthetic methods for synthesis of triglycerides have been reported in which, the first step is the conversion of fatty acid into fatty chloride by using thionyl chloride, oxalyl chloride, phosphate pentachloride (Quinn et al., 1967) (Mattson and Volpenhe, 1962). These inorganic acids are not environment friendly method. Another approach toward the synthesis of triglyceride involves the use of certain enzymes as free CALB (Ravelo et al., 2015; Ferreira and Tonetto, 2017), and catalysts as zinc carboxylates (Macierzanka and Szelag, 2004), triphenylphosphine dibromide (Saroja and Kaimal, 1986) which are very expensive. In this research work, synthesis of new triglyceride with benzoic acid derivatives rather than fatty acid has been reported through, an environmental friendly and inexpensive, acyl addition elimination reaction by using CDI reported by Sheikh et al. (2018).

Urease (urea amidohydrolase, E.C.3.5.1.5) enzyme catalyzes the hydrolysis of urea and converts it into CO2 and NH3. Urease catalyzed urea enzymatic hydrolysis is 1014 times faster than non-enzymatic hydrolysis (Backert and Clyne, 2011). High urease activity increases NH3 concentration and resultant toxicity (Bremner and Krogmeier, 1989). High concentration of NH3 can cause many human diseases like ulcer, urolithiasis, pyelonephritis, NH3 and hepatic encephalopathy, heaptic coma, and urinary catheter encrustation (Amtul et al., 2002). In addition, almost 90% of the world population is suffering from Gram negative bacterium Helicobacter pylori which cause urinary tract stones and peptic ulcer by using urease mechanism (Blaser, 1998). Because of these reasons, in recent year’s urease inhibition studies have fascinated researchers and increasing concentration towards this problem caused by urease enzyme. Several urease inhibitors have been reported including hydroxamate derivatives, phosphoramidites, benzimidazole derivatives, urea derivatives, polyphenol, thiols, heavy metal ions, boric acid and phosphate (Arshad et al., 2017; Kafarski and Talma, 2018).

Many glycerol derivatives such as fatty acid glycerides have been reported as bioactive against Gram positive, Gram negative, yeast and protozoa. Examples include monolaurin and monocaprin against Helicobacter pylori (Bergsson et al., 2002), E. coli (Kabara, 1978), Staphylococcus aureus, S. epidermidis, Streptococcus beta-hemolytic and alpha hemolytic, Corynebacterium, Giardia lamblia (Moanta and Radu, 2008) and Candida (Jarrahpour et al., 2004). Benzoic acid and benzoate ester derivatives are reported for their antibacterial (Friedman et al., 2003), antifungal (Terreaux et al., 2010), anti-inflammatory (Chen et al., 2007) and antiprotozoal (Kashif et al., 2017) activities. In recent years, benzoic acid derivatives have been reported for their inhibitory activities against different enzymes like urease (Rauf et al., 2014), acetylcholinesterase (Yildiz et al., 2016), tyrosinase (Khan et al., 2010) and Trypanosoma cruzi trans-sialidase (TcTS) (Kashif et al., 2017).

In the current study, we synthesized four new triaryl triglycerides (3a-3d) with benzoic acid and evaluated their urease inhibitory and antimicrobial activities which were found to be comparable to previously reported monoglyceride analogs (Sheikh et al., 2018).    

Materials and Methods

Solvents and reagents that were used in the synthesis were of analytical grade and purchased from the Sigma-Aldrich Chemical Company, USA and Merck Millipore. Jasco-320-A spectrophotometer was used for the IR spectroscopy by using KBr discs in the range of 400-4000 cm-1. 1H-NMR and 13C-NMR spectra were recorded in the solvent CDCl3 and DMSO with Si(Me)4 as the internal standard at 300 on Bruker Avance AM spectrometers. 1H-NMR, 13C-NMR, IR, elemental analysis and EI-MS were done in International Center for Chemical and Biological Sciences, University of Karachi, Karachi, Pakistan. For all compounds, mass spectroscopic analysis data were collected through EI-MS using JEOL USA JMS600S instrument.

The mass spectra were taken under electron impact (EI) on MAT 312 and MAT 113D mass spectrometers. Thin layer chromatography technique was used to monitor the reactions and purity, carried out on Merck pre-coated silica gel 60 F254 20 x 20 cm aluminum sheets and spots were seen under UV light at 254 and 366 nm.

Synthesis of triaryl triglycerides (3a-3d)

Organic acid (1a-1d) (5 mmol) and carbonyldiimidazole (5 mmol) were dissolved in THF (30 mL). After 2 hours of stirring, the glycerol (5) (1.25 mmol) was added into the vessel along with triethylamine base (0.52 mL). The reaction mixture was left stirring for 48 hours after which the solvent was dried off. The solid reaction mixture was poured into 0.05 M solution of Na2CO3. Obtained precipitate of the product was filtered, washed again with water, extracted with dichloromethane and was dried over sodium sulfate. Evaporation of solvent gave the triaryl triglyceride ester (3a-3d) which was further purified through column chromatography (Scheme 1).

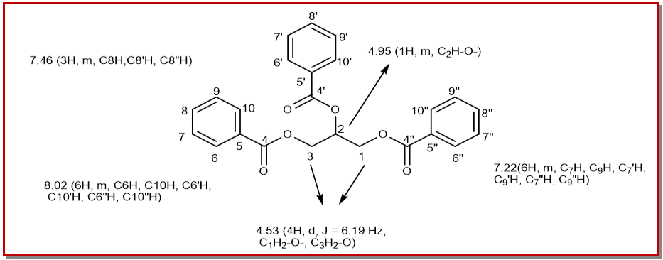
Propane-1,2,3-triyl tribenzoate (3a)(Figure 1)

Figure 1: 1H-NMR chemical shifts of compound 3a

Scheme 1: Synthesis of triaryl triglycerides (3a-3d)

Yield: 68%; off white solid; m.p.: 56-58°C; Rf: 0.42 (ethyl acetate: n-hexane 2:1); IR (KBr) νmax (cm-1): 3066 (aromatic) 2934 (C-H aliphatic), 1692 (C=O ester), 1614 (C=C aromatic), 1277 (C-O ester), 1105 (C-O ether) cm-1; 1H-NMR (CDCl3, 300 MHz, 25 °C, TMS) δ (ppm): 4.53 (4H, d, J = 6.19 Hz, C1H2-O-, C3H2-O), 4.95 (1H, m, C2H-O-), 7.22(6H, m, C7H, C9H, C7'H, C9'H, C7"H, C9"H), 7.46 (3H, m, C8H,C8'H, C8"H), 8.02 (6H, m, C6H, C10H, C6'H, C10'H, C6"H, C10"H),; 13C NMR: (75 MHz, DMSO-d6): 165.9, 133.2, 130.1,128.6, 68.9, 62.9,; EIMS: m/z (rel. abund. %), 404.41 (M+,27), 403.1(70), 165.05 (100), 148 (28), 122 (4); Anal. Calcd for C24H20O6: C, 71.28; H, 4.98; O, 23.74; Found: C, 71.30; H, 4.95; O, 23.72.

Propane-1,2,3-triyltris(4-(dimethylamino)benzoate) (3b)

Yield: 56%; white solid; m.p.: 69-71°C; Rf: 0.32 (ethyl acetate : n-hexane 2:1); IR (KBr) νmax (cm-1): 3140 (C-H aromatic),  2931 (C-H aliphatic), 1690 (C=O ester), 1604 (C=C aromatic), 1274 (C-O ester), 1185 (C-N amine), 1099 (C-O ether) cm-1; 1H-NMR (CDCl3, 300 MHz, 25 °C, TMS) δ (ppm): 3.02 (18H, s, -C11H3, -C12H3, -C11'H3, -C12'H3, -C11"H3, -C12"H3), 3.77(1H, m, C1H2-O-), 4.12 (1H, m, C1H2-O-), 4.36 (2H, d, J = 5.1 Hz, C3H2-O-), 4.42 (1H, m, C2H-O-), 6.67 (6H, m, C7H, C9H, C7'H, C9'H, C7"H, C9"H), 7.91 (6H, m, C6H, C10H, C6'H, C10'H, C6"H, C10"H),; 13C NMR: (75 MHz, DMSO-d6): 165.7, 154.7, 130.9, 119.8.9, 112.0, 67.8, 62.9,40.8.; EIMS: m/z (rel. abund. %), 533.25 (M+,27),; Anal. Calcd for C30H35N3O6: C, 67.52; H, 6.61; N, 7.87; O, 17.99; Found: C, 67.55; H, 6.59; N, 7.88; O, 18.00.

Propane-1,2,3-triyltris(4-chlorobenzoate) (3c)

Yield: 75%; white solid; m.p.: 83-85°C; Rf: 0.37 (ethyl acetate : n-hexane 2:1); IR (KBr) νmax (cm-1): 3156 (C-H aromatic), 2981 (C-H aliphatic), 1691 (C=O ester), 1599 (C=C aromatic), 1275 (C-O ester), 1079 (C-O ether) cm-1; 1H-NMR (CDCl3, 300 MHz, 25 °C, TMS) δ (ppm): 3.92 (4H, d, J = 8.6 Hz, C1H2-O-, C3H2-O-), 4.44 (1H, m, C2H-O-), 7.65 (6H, m, C7H, C9H, C7'H, C9'H, C7"H, C9"H), 7.99 (6H, d, J = 8.2 Hz,  C6H, C10H, C6'H, C10'H, C6"H, C10"H),; 13C NMR: (75 MHz, DMSO-d6): 166.2, 139.7, 133.6, 130.4, 128.5, 127.9, 67.6, 63.5.; EIMS: m/z (rel. abund. %), 506.00 (M+,100), 508.1(M+2, 95), 510.03 (M+4, 30),; Anal. Calcd for C24H17Cl3O6: C, 56.77; H, 3.37; Cl, 20.95; O, 18.91; Found: C, 56.76; H, 3.39; Cl, 20.94; O, 18.93.

Propane-1,2,3-triyltris(2-(4-methoxyphenyl)acetate) (3d)

Yield: 68%; white solid; m.p.: 5-77°C; Rf: 0.49 (ethyl acetate : n-hexane 2:1); IR (KBr) νmax (cm-1): 2931 (C-H aliphatic), 1691 (C=O ester), 1607 (C=C aromatic), 1275 (C-O ester), 1102 (C-O ether) cm-1; 1H-NMR (CDCl3, 300 MHz, 25 °C, TMS) δ (ppm): 3.56 (6H, s, -C5H2-, -C5'H2-, -C5"H2-), 3.77 (9H, s, -O-C12H3, -O-C12'H3, -O-C12"H3), 3.92 (4H, d, J = 8.6 Hz, C1H2-O-, C3H2-O-), 4.44 (1H, m, C2H-O-), 6.63 (6H, d, J = 9 Hz, C8H, C10H, C8'H, C10'H, C8"H, C10"H), 7.91 (6H, d, J = 9 Hz, C7H, C11H, C7'H, C11'H, C7"H, C11"H),; 13C NMR: (75 MHz, DMSO-d6): 172.4, 154.3, 131.5, 127.9, 115.3, 68.6, 63.2, 39.8, 41.8; EIMS: m/z (rel. abund. %), 536.59 (M+,27),; Anal. Calcd for C30H32O9: C, 67.15; H, 6.01; O, 26.84; Found: C, 67.16; H, 6.00; O, 26.86.

In vitro urease assay and antimicrobial activity

A mixture of 25 μL of enzyme (jack bean urease) and 100 mm urea containing 55 μL of buffer was incubated with 5 μL of compound (3a-3d) which concentration was 1 mM. Incubation process was carried out at 30°C for 15 min in 96-well plates. Indophenol method is described in the literature (Weatherburn, 1967), in which the activity was measured through the NH3 production. In brief, 45 μL each of 1% w/v phenol and 0.005% w/v sodium nitroprusside (phenol reagent) and 70 μL of 0.5% w/v NaOH and 0.1 % active chloride NaOCl (alkali reagent) were added to each well. The increasing absorbance at 630 nm was measured after 50 min, using a microplate reader (molecular device, USA). All the assays were performed at pH 8.2 (0.01 m K2HPO4.3H2O, 1 mm EDTA and 0.01 m LiCl2). Percentage inhibition was calculated from the formula given as follows:

100–(ODtestwell/ODcontrol) x 100

Thiourea was used as the standard inhibitor of urease.

Antimicrobial activity

The agar well diffusion method was used to determine the antibacterial activity by plant extract and its fractions (Ahmed et al., 1998). In this procedure, 100 μL of inoculums (diluted to 106 CFU/mL) of test culture was mixed with 20 mL of molten sterile tryptic soya agar. This mixture was poured into pre-sterilized petri dishes under sterile condition. Plates were allowed to set at 4ºC for 30-40 min. Holes (6 mm diameter) were made in the center of each seeded plate. 0.1 mL of the test solution i.e. compound (3a-3d) was then filled in holes with two concentrations (0.1 and 0.05%). Standard disc of antibiotic gentamicin (10 μg) served as positive antibacterial control. DMSO was used as negative control. All plates were then incubated at 37 ± 1ºC for 24 hours. The zone of inhibition around the wall was observed for the evaluation of the antibacterial activity. Vernier caliper was used to measure the diameter (in mm) of inhibition zone. Readings were made repeatedly to minimize test error.

Results

Urease inhibition activity

All compounds (3a-3d) were evaluated for inhibition activity. Standard (thiourea) was used with IC50 value 21.6 ± 0.12 μM. All compounds were showed inhibition activity with the IC50 values between 22.4 ± 0.45 to 41.2 ± 0.16 μM. Compound (3c) was the most active compound with the IC50 value near to the standard that is 22.4 ± 0.45 μM, while the least active compound was (3d) with the IC50 value two times less than (3c). All the values were listed in Table I.

Table I: Urease inhibition results of compounds (3a-3d)

SL. No. Compound R Urease inhibition
    Substituents (IC50 ± SEM μM)a
1 3a   26.4 ± 0.5
2 3b   36.5 ± 0.3
3 3c   22.4 ± 0.5
4 3d   41.2 ± 0.2
Standard Thiourea   21.6 ± 0.1
a = (Mean ± Standard error of mean)

Antimicrobial activity

All synthetic compounds (3a-3d) were evaluated for their antimicrobial activity against Gram positive (S. pneumoniae, S. epidermidis and Bacillus pumilus), Gram negative (Escherichia coli and Pseudomonas aeruginosa) and yeast (Candida albican). In the current study, gentamycin (10 μg) was used as standard while synthetic compounds (3a-3d) were used in two concentrations 0.1 and 0.05%. The antimicrobial activity results are listed in Table II.

Table II: Antimicrobial activity of compounds (3a-3d)

Zone inhibition (mm)
  Yeast Gram positive Gram negative
  Candida
albican
Streptococcus
pneumoniae
Staphylococcus
epidermidis
Bacillus
pumilus
Escherichia
coli
Pseudomonas
aeruginosa
Conc.
%
0.1 0.05 Std. 0.1 0.05 Std. 0.1 0.05 Std. 0.1 0.05 Std. 0.1 0.05 Std. 0.1 0.05 Std.
3a 18.2 15.4 20 17.5 16 20 18 16 20 17.5 19.6 20 12 15.6 22 18.3 17 20
3b 19 17.3 20 18.3 16.6 21 15 - 20 18.3 13.6 22 20 22.3 23.5 18 12.6 19.3
3c 20 19.6 21 19 18.5 20 18.9 14.6 21 18.7 17.6 20 23 22.3 24 17.6 16.7 20
3d 16 - 20 14 - 20 - - 21 14. - 20 16.3 - 22 14 - 20

Discussion

In the synthesis of triaryl triglyceride (3a-3d), glycerol was esterified with only once with one benzoic acid. The esterification was carried out by CDI which incorporated the imidazole as leaving group in place of basic group –OH. Being an aromatic ring, the imidazole anion is highly stable (closed bonding shell and resonance) (Verma et al., 2012), hence elimination step of acyl addition elimination reaction becomes energetically facile. Acyl addition elimination is facilitated by the same scheme of the replacement of the leaving group usually by reaction of the acid with an inorganic acid such as SOCl2, oxalyl chloride, PCl3 and PCl5 (Roy et al. 2016). Glycerol being a triol polyhydric alcohol (Bieleski, 1982) wields three Lewis basic OH sites for bonding with bioactive moieties, in this research work these OH sites bonds with C=O of three benzoic acids. Other than glycerol, higher polyol sugar alcohols can also be used on the same pattern with even higher number of Lewis basic sites in them to be bonded with aryl rings.

Some bonded benzoic acid rings had activating and deactivating (resonating and inductive) groups on the aryl ring inducing an overall electron rich or deficient character on the bonded aryl ring respectively. Hence, substitution on the aryl ring had an impact on the bioactivity and also on the interaction with substrates.

The 1H-NMR of all compounds were studied at 300 MHz. In 1H-NMR of (3a), alkyl protons of C1, C2 and C3 appeared between 4 to 5 ppm, due to the deshielding effects of sp2 O atom which is in conjugation with the C=O bond of the ester. Aryl protons are deshielded by sp2 carbonyl carbon of ester, appearing between 7 to 8 ppm.

Because of the presence of the symmetry element in (3a-3d) half of the resonance spectra were achieved. All aryl ring proton showed 2nd order coupling with AA’BB’C system. This system referred to as Pople notation spin spitting designation protocol (Pople et al., 1957), otherwise in 1st order spectra of aryl ring spin splitting system would at least doublet of doublet (dd) with 3J and 4J. Similarly, the beta carbon (C2) proton should have been doublet of doublet (dd) but there was also 2nd order interaction between the mutually spin splitting protons in the alkyl aliphatic range. The higher vicinal coupling constant means (sp3-1s) σ orbital is parallel to the 1s σ orbital, this implies that the orbital-orbital overlap is strong according to Dirac modal and electronic spin interaction is facile (Minch, 1994). This orbital overlap is possible when angle is either 0º or 180º. In case of 180º the interaction is in between σ and σ* orbital. The alkyl aliphatic system is deshielded by the sp2 O which is in conjugation with the C=O bond of ester. Aryl section is deshielded by sp2 carbonyl carbon of ester group. Whether the symmetry was axial or planer can be verified by the stereochemical analysis such as NOE, NOESY.

Limited structural activity relationship showed that compound (3c) was the most active compound with the IC50 value 22.4 ± 0.45 μM and it had Cl at para position of the aryl ring in all three substituents R. The next active most compound was (3a) with IC50 value 26.4 ± 0.47 μM, it had unsubsituted aryl ring. Compound (3b) also showed good activity with the IC50­ value 36.5 ± 0.33 μM, it had N,N-dimethyl substituents on para position in all three aryl rings. The least active compound was (3d) with the IC50­ value 41.2 ± 0.16 μM. From the results, it was found that urease inhibition activity depends on the number of aryl rings and substituents on it. As the number of aryl ring increases, the probability of π-π stacking of aryl rings with the active sites of enzyme or its side chain which contains cysteine or methionine groups also increase (Rego et al., 2018). As a result, good urease inhibition activity was shown by the synthesized triaryl triglycerides (3a-3d), compared to the monoglycerides reported by Sheikh et al., (2018). Taha et al. (2016) reported that the incorporation of electron-withdrawing groups on aryl ring increase the polarizbility and inhibition activity towards urease enzyme. As results showed that the most active compound (3c) also contains three Cl at para position of all aryl rings and was found most active among rest.

All compounds showed activity against all microorganisms the most active molecule was (3c), it exhibited good activity against all bacteria and yeast at both concentrations and its zone inhibition values was very close to standard values. The least active compound was (3d) which showed moderate level activity at 1% concentration and inactive at 0.05%. It was also inactive against S. epidermidis at both concentrations. As compared to the previously reported fatty glycerides and monoglycerides (Sheikh et al., 2018) the synthesized triaryl triglycerides exhibited good to excellent level bioactivity against the given microbes.

Conclusion

Potent bioactive triaryl triglyceride esters (3a-3d) were synthesized with benzoic acid derivatives through facile one-step and environmental friendly synthesis. All synthetic triglycerides (3a-3d) inhibit the enzyme urease and show the good antimicrobial activity even better than previously reported monoglycerides.

References

Ahmed I, Mehmood Z, Mohammad F. Screening of some indian medicinal plants for their antimicrobial properties. J Ethnopharmacol. 1998; 62: 183-93.

Amtul Z, Atta-Ur-Rahman, Siddiqui R, Choudhary MI. Chemistry and mechanism of urease inhibition. Curr Med Chem. 2002; 9: 1323-48.

Arshad T, Khan KM, Rasool N, Salar U, Hussain S, Asghar H, Ashraf M, Wadood A, Riaz M, Perveen S, Taha M, Ismail NH. 5-Bromo-2-aryl benzimidazole derivatives as non-cytotoxic potential dual inhibitors of α-glucosidase and urease enzymes. Bioorg Chem. 2017; 72: 21-31.

Backert S, Clyne M. Pathogenesis of Helicobacter pylori infection. Helicobacter 2011; 16: 19-25.

Bergsson G, SteingrıÌmsson Ó, Thormar H. Bactericidal effects of fatty acids and monoglycerides on Helicobacter pylori. Int J Antimicrob Agents. 2002; 20: 258-62.

Bieleski RL. Sugar alcohols. Plant Carbohydrates I. 1982, pp 158-92.

Blaser MJ. Helicobacters are indigenous to the human stomach: Duodenal ulceration is due to changes in gastric microecology in the modern era. Gut 1998; 43: 721-27.

Bremner JM, Krogmeier MJ. Evidence that the adverse effect of urea fertilizer on seed germination in soil is due to NH3 formed through hydrolysis of urea by soil urease. Proc Natl Acad Sci USA. 1989; 8: 8185-88.

Chen JJ, Cho JY, Hwang TL, Chen IS. Benzoic acid derivatives, acetophenones, and anti-inflammatory constituents from Melicope semecarpifolia. J Nat Prod. 2007; 71: 71-74.

Ferreira ML, Tonetto GM. Enzymatic synthesis of structured triglycerides: From laboratory to industry. Cham, Springer International Publishing, 2017.

Friedman M, Henika PR, Mandrell RE. Antibacterial activities of phenolic benzaldehydes and benzoic acids against Campylobacter jejuni, Escherichia coli, Listeria monocytogenes and Salmonella enterica. J Food Prot. 2003; 66: 1811-21.

Jarrahpour AA, Motamedifar M, Pakshir K, Hadi N, Zarei M. Synthesis of novel azo schiff bases and their antibacterial and antifungal activities. Molecules 2004; 9: 815-24.

Kabara JJ. Symposium of the pharmacological effect of lipids. Champaign, III, USA. The American Oil Chemist Society. 1978, p 92.

Kafarski P, Talma M. Recent advances in design of new urease inhibitors: A review. J Adv Res. 2018: 2018.

Kashif M, Moreno-Herrera A, Villalobos-Rocha J, Nogueda-Torres B, Pérez-Villanueva J, Rodríguez-Villar K, Medina-Franco J, Andrade PD, Carvalho I. Rivera G. Benzoic acid derivatives with trypanocidal activity: Enzymatic analysis and molecular docking studies toward Trans-Sialidase. Molecules 2017; 22: 1863.

Khan SB, Khan MT, Jang ES, Akhtar K, Seo J, Han H. Tyrosinase inhibitory effect of benzoic acid derivatives and their structure-activity relationships. J Enzyme Inhib Med Chem. 2010: 25: 812-17.

Macierzanka A, Szelag H. Esterification kinetics of glycerol with fatty acids in the presence of zinc carboxylates: Preparation of modified acylglycerol emulsifiers. Ind Eng Chem Res. 2004; 43: 7744–53.

Mattson FH, Volpenhe RA. Synthesis and properties of glycerides. J Lipid Res. 1962; 3: 281-96.

Minch MJ. Orientational dependence of vicinal protonâ€proton NMR coupling constants: The Karplus relationship. Concepts Magn Reson A. 1994; 6: 41-56.

Moanta A, Radu S. New phenoxyacetic acid analogues with antimicrobial activity. Rev Chim. 2008; 6: 708-11.

Nelson DL, Cox MM. Lehninger Principles of biochemistry. 3rd ed. New York, Worth Publishing, 2000.

Pople JA, Bernstein HJ, Schneider WG. The analysis of nuclear magnetic resonance spectra. Can J Chem. 1957; 35: 65-81.

Quinn JG, Sampugna J, Jensen RG. Synthesis of 100-gram quantities of highly purified mixed acid triglycerides. J Am Oil Chem Soc. 1967; 44: 439-42.

Rauf MK, Talib A, Badshah A, Zaib S, Shoaib K, Shahid M, Floerke U, Imtiaz-Ud-Din, Iqbal J. ChemInform Abstract: Solution-phase microwave assisted parallel synthesis of N,N′-Disubstituted thioureas derived from benzoic acid: Biological evaluation and molecular docking studies. Chem Inform. 2014; 45.

Ravelo M, Fuente E, Blanco Ã, Ladero M, García-Ochoa F. Esterification of glycerol and ibuprofen in solventless media catalyzed by free CALB: Kinetic modelling. Biochem Eng J. 2015; 101: 228-36.

Rego YF, Queiroz MP, Brito TO, Carvalho PG, Queiroz VT, Fátima ÂD, Macedo F. A review on the development of urease inhibitors as antimicrobial agents against pathogenic bacteria. J Adv Res. 2018.

Roy J, Adili R, Kulmacz R, Holinstat M, Das A. Development of polyunsaturated fatty acid derivatives of aspirin for inhibition of platelet function. J Pharmacol Exp Ther. 2016; 359: 134-41.

Sheikh HK, Arshad T, Kazmi MH, Ferheen S, Sohail T, Lateef M. Bioactivity and conformational study of novel glycol azo derivatives. Int J Biol Biotech. 2018; 15: 185-91.

Saroja M, Kaimal TN. A convenient method of esterification of fatty acids. Preparation of alkyl esters, sterol esters, wax esters and triacylglycerols. Synth Commun. 1986; 16: 1423-30.

Terreaux C, Gupta MP, Hostettmann K. ChemInform Abstract: Antifungal benzoic acid derivatives from piper dilatatum. Chem Inform. 2010; 30: 2.

Verma S, Ghorpade R, Pratap A, Kaushik M. Solvent free, N,N′-carbonyldiimidazole (CDI) mediated amidation. Tetrahedron Lett. 2012; 53: 2373-76.

Taha M, Ismail NH, Imran S, Wadood A, Rahim F, Khan KM, Riaz M. Hybrid benzothiazole analogs as antiurease agent: Synthesis and molecular docking studies. Bioorg Chem. 2016; 66: 80-87.

Weatherburn MW. Phenol-hypochlorite reaction for determination of NH3. Anal Chem. 1967; 39: 971-74.

White H, Venkatesh, B. Clinical review: Ketones and brain injury. Crit Care. 2011; 15: 219-29.

Yildiz M, Kiliç D, Ünver Y, Şentürk M, Askin H, Küfrevioğlu ÖI. Acetylcholinesterase inhibitory properties of some benzoic acid derivatives. In: AIP Conference Proceedings 2016. AIP Publishing, 2016.

Published
2018-10-10

Apply citation style format of Bangladesh Journal of Pharmacology

Section
Research Articles
Financial Support
Self-funded
Conflict of Interest
Authors declare no conflict of interest
Video Clip of Methodology