HPLC analysis, antioxidant activity of Genista ferox and its antiproliferative effect in HeLa cell line

  • Ilhem Bencherchar Department of Chemistry, Faculty of Science, Cankiri Karatekin University, Cankiri, Turkey.
  • Ibrahim Demirtas Department of Chemistry, Faculty of Science, Cankiri Karatekin University, Cankiri, Turkey. http://orcid.org/0000-0001-8946-647X
  • Muhammed Altun Department of Chemistry, Faculty of Science, Cankiri Karatekin University, Cankiri, Turkey. http://orcid.org/0000-0002-0387-1819
  • Fatih Gul Department of Chemistry, Faculty of Science, Cankiri Karatekin University, Cankiri, Turkey. http://orcid.org/0000-0002-4297-786X
  • Djamel Sarri Valorization of Natural Resources, Bioactive Moleculesand Biological Analysis Unit, Department of Chemistry, University of Mentouri Constantine 1, Constantine 25000, Algeria.
  • Fadila Benayache Valorization of Natural Resources, Bioactive Moleculesand Biological Analysis Unit, Department of Chemistry, University of Mentouri Constantine 1, Constantine 25000, Algeria. http://orcid.org/0000-0002-2282-6343
  • Samir Benayache Valorization of Natural Resources, Bioactive Moleculesand Biological Analysis Unit, Department of Chemistry, University of Mentouri Constantine 1, Constantine 25000, Algeria. http://orcid.org/0000-0003-2298-2466
  • Ratiba Mekkiou Valorization of Natural Resources, Bioactive Moleculesand Biological Analysis Unit, Department of Chemistry, University of Mentouri Constantine 1, Constantine 25000, Algeria.
Keywords: Antiproliferative, Genista ferox, HPLC-TOF/MS, Folin-Ciocalteu
DOI: 10.3329/bjp.v12i3.32310

Abstract

The prevention and treatment of the cancer using plants have attracted increasing interest. The present study was aimed to determine the phenolic compounds of Genista ferox using HPLC-TOF/MS and the antioxidant activity associated with anti-cancer activity against human cervical adenocarcinoma (HeLa) cell line. Total antioxidant capacities of different extracts of G. ferox were assessed by DPPH assay, and their total phenolic and flavonoids contents measured by Folin-Ciocalteu and aluminum trichloride assays. The amounts of total phenolic (105.2 ± 0.6 - 308.5 ± 5.7 mg/g) of extract measured as gallic acid equivalent and flavonoids (8.1 ± 0.1 - 124.0 ± 0.7 mg/g) of extract measured as quercetin equivalent varied from chloroform to n-butanol extract of the two parts of the plant (leaf and stem). The ethyl acetate extract of G. ferox exhibited the most powerful effect on the DPPH scavenging activity with 94% from the leaf and 93% from the stem, while the chloroform extract from the leaf exhibited the most effective antiproliferative activity against HeLa cell lines.

Introduction

Plants used in ancient times as medicines to alleviate symptoms of various ailments (Saeed et al., 2012). In spite of the great progress in modern medicine in recent decades, but the herbal medicine still make an important contribution in the health care. Many medicinal and aromatic plants contain huge amounts of antioxidants such as polyphenols. These substances can have an important role in the absorption and neutralize free radicals, and the extinction of the shirt and triple oxygen or peroxide decomposing. Many of these phytochemicals have antioxidant capabilities so they contribute significantly to the fight against many human diseases and thus contribute to the reduction of mortality (Djeridane et al., 2006). Phenolic compounds such as flavonoids and phenolic acids have different biological effects, such as the effects of antiatherosclerotic, anti-inflammatory and anti-cancer, as a result of the antioxidant activity (Krishnaiah et al., 2011).

The Fabaceae family contains approximately 700 genera, in Algeria there are about 53 genera and 337 species (Quezel and Santa, 1963). Genista genus has about 150 species in Europe and the Mediterranean region (RE, 1987). A literature survey shows that this genus is a good source of phenolic compounds, in particular isoflavonoids, which are known for their diverse biological activities. The recent studies on the species of the Genista genus showed pharmacological interest (Belle et al., 1995; Herrera et al., 1992).

In the present study, the qualitative and quantitative analysis, the identification and quantification of phenolic acids and flavonoids in chloroform, ethyl acetate, n-butanol and methanol extracts of Genista ferox using HPLC-TOF/MS were reported. All extracts were subjected to DPPH radical scavenging activity assay to evaluate the antioxidant activity as well as the estimation of antiproliferative activity against HeLa cell lines.

Materials and Methods

Plant material

G. ferox was harvested from the region of El-kala (eastern Algeria) in May 2014 and identified by Dr. Djamel Sarri from the Department of Biology, M'Sila University. A voucher specimen had been deposited in the VARENBIOMOL research unit with the identification number 05/2014/FGF.

Phytochemical screening

Three organs of the plant material (fruit, leaf and stem) were separated and screened for different chemical constituents such as coumarins, saponins, quinone, flavonoids, alkaloids, anthocyanin and tannins using standard procedures (Ciulel, 1982; Linga Rao and Savithramma, 2011; Obasi Nnamdi et al., 2010).

Extraction procedures

The stems (1,075 g) of G. ferox was macerated at room temperature with a mixture of ethanol:water (70:30, v/v) for 48 hours. The process was repeated thrice. After filtration, the filtrates were concentrated and finally dissolved in 430 mL of water which gave soluble and non-soluble parts in water. The aqueous phase (soluble part) was extracted successively with chloroform, ethyl acetate and n-butanol. The organic layers were concentrated in vacuum at room temperature to obtain the extracts. While, the non-soluble part was dissolved in the methanol to give the methanol extract.

A quantity of 700 g of leaves of G. ferox were macerate by the same manner as previously to obtain chloroform, ethyl acetate, n-butanol and methanol extracts.

The yields of different extracts of G. ferox were calculated using the formula:

Yield % (w/w) = (Amount (g) of extract/Amount (g) of plant) x 100

Quantitative analysis by HPLC-TOF/MS

The quantification of flavonoids, phenolics and phenolic acids in all extracts was carried out using 1260 Infinity HPLC System (Agilent Technology) coupled with TOF (6210 Time of Flight) LC/MS detector and ZORBAX SB-C18 (4.6 x 100 mm, 3.5 um) column. The mobile phase consisted of solvent mixtures (A) water (ultrapure) with 0.1% formic acid and (B) acetonitrile, respectively. Flow rate and column temperature were 0.6 mL/min and 35°C, respectively. The solvent program was as follow: 0-1 min 10% B; 1-20 min 50% B; 20-23 min 80% B; 23-30 min 10% B. The injection volume was 10 uL. Ionization mode of HPLC-TOF/MS instrument was negative mode and operated with a nitrogen gas at 325°C, and gas flow of 10.0 L/min, nebulizer of 40 psi, capillary voltage of 3500 V and finally, fragmentor voltage of 175 V. The crude extracts (200 ppm) were dissolved in methanol at room temperature. The particulates of the samples were removed using a PVDF (0.45 um) filter (Demirtas et al., 2013). The limits of detection were found to be between 25 and 2500 ppb using HPLC-TOF/MS.

Determination of antioxidant activity

Estimation of total phenolic content

The total phenolic content was determined by the method of Folin-Ciocalteau using gallic acid as a standard (Singleton and Rossi, 1965). 0.5 mL of gallic acid (1 mg/mL) of different concentrations was mixed with 1 mL of Folin-Ciocalteau reagent (1 N) and allowed to stand at room temperature for 5 min. 5 mL of Na2CO(20%) was added. The mixture was mixed and allowed to stand at room temperature in the dark for 2 hours. 0.5 mL of each extract (1 mg/mL) was prepared by the same manner as gallic acid. The absorbance was read at 765 nm and the result expressed as gallic acid equivalent (mg GAE/g of extract).

Estimation of total flavonoid content

The total flavonoid content was determined by the method of aluminum trichloride using quercetin as a standard (Ordonez et al., 2006). 1 mL of each extract (1 mg/mL) was mixed with 1 mL of 2% methanolic aluminum trichloride solution. The absorbance read at 420 nm after 1 hour. The absorption of quercetin standard solutions measured under the same conditions. The results are expressed as equivalent quercetin (mg QE/g of extract).

DPPH radical scavenging

Different dilutions (1-100 µg/mL) of extracts were prepared and a solution of DPPH was prepared by dissolving 2.4 mg of DPPH in 100 mL methanol. Then, 50 µL of each dilution was added to the test tubes containing 1.95 mL of the prepared DPPH solution. The negative control (sample) was prepared by adding 50 µL of methanol in 1.95 mL of the prepared DPPH solution. Ascorbic acid was used as standard. The mixture was allowed to stand in the dark for 30 min. Absorbance was measured spectrophotometrically at 517 nm. The scavenging activity was calculated using the equation.

RSA = [(Ablank - Asample)/Ablank] x 100

Where, Ablank  and Asample  are the absorbance of the negative control (blank) and the sample, respectively

The IC50 value is defined as the concentration of antioxidant necessary to inhibit DPPH radical formation by 50%. The synthetic antioxidant reagent, ascorbic acid was used as a positive control (Takao et al., 1994).

Antiproliferative activity

Preparation of cell suspension

Human cervix carcinoma cells (HeLa) were grown at 37°C in a CO2 incubator (5% CO2 and 95% humidified atmosphere). Dulbecco's Modified Eagle's Medium-High Glucose (DMEM), Sigma, Germany) including 10% (v/v) fetal bovine serum (Sigma, Germany) and 2% (v/v) streptomycin-penicillin (Sigma, Germany) was used as medium.

10 mL trypsin-EDTA solution was added to culture flask to detach HeLa cells from bottom of the culture flask. The cells were incubated for 2-3 min at 37°C in a COincubator. Thus, HeLa cells were removed from the surface. After detachment, the flask was removed from the incubator and 10 uL DMEM (Dulbecco's Modified Eagle's Medium-High Glucose) was added into the flask to neutralize the medium. The cell suspension was transferred to 15 mL falcon tubes in equal amounts and centrifuged for 5 min at 600 rpm.

After removing the supernatant, 3 mL DMEM was added onto the cell pellets and resuspended carefully with a sterile pipette. The quantity of live cells of this cell suspension was measured automatically with cell counting device (CEDEX HiRes Innovatis, Roche). The cell counting device tagged  the dead cells with trypan blue solution (Demirtas et al., 2013).

Cell proliferation assay

Antiproliferative activity measurements were performed according to the method described elsewhere (Abay et al., 2015; Okten et al., 2015). 50 µL DMEM were added into each well of E-Plate 96. The plate was incubated in the steril cabinet for 15 min and in the CO2 incubator for 15 min to reach a thermal equilibrium. After this period, the plate was inserted to the xCELLigence RTCA device and a background impedance measurement was performed in the incubator (Step 1). This step continued 1 min. Then E-plate 96 was rejected from xCElligence SP station and 100 µL HeLa cells suspension (2.5 x 10cells/100 µL) were added to each wells, except the last 3 wells. Only 100 µL of medium (DMEM) was added to these 3 wells. Three wells were left blank to check if there would be an increase due to the culture medium.

The plate was left in the sterile cabinet at room temperature for 30 min. After this stage, E-Plate 96 was inserted to xCELLigence RTCA SP station in the CO2 incubator. A measurement was performed for 80 min (Step 2). In this step, the cancer cells were accommodated to medium and attached to the microelectrodes at the wells bottom. During this period, the cells conditions were measured every 10 min.

The extracts were dissolved in sterile DMSO (20 mg/mL). This sample solutions were diluted with DMEM in sterile tubes (25 µL sample/475 µL DMEM). Final DMSO concentration is below 1% in all tests.

After Step 2, E-Plate 96 was recaptured to sterile cabinet and the extract solutions were added into the wells in different concentrations (10, 20 and 50 µL equivalent to 50, 100 and 250 µg/mL concentrations, respectively). The final volumes of the wells were completed to 200 µL with DMEM. Each dose of the samples was repeated 3 times. No extract solution was added into the control and the medium wells. Then E-Plate 96 was inserted to xCELLigence RTCA device for the last step. The measurement was launched for 48 hours (Step 3). The cells conditions measured every 10 min during this step.

Results

Yield of the extracts

Table I represent the amount and yield of chloroform, ethyl acetate, n-butanol and methanol extracts of the two parts (leaf and stem) of G. ferox. Methanol and n-butanol extract showed high yield.

Table I: Yields and amounts of extracts of G. ferox

  Extract Amount (g) Yield% (w/w)
Leaves Chloroform 00.7 0.001
Ethyl acetate 02.6 0.004
Butanol 13.0 0.019
Methanol 20.0 0.029
Stems Chloroform 01.4 0.001
Ethyl acetate 04.7 0.004
Butanol 46.0 0.043
Methanol 49.0 0.046

Phytochemical screening

The qualitative screening of G. ferox showed the presence of alkaloids, saponins, coumarins, tannins and flavonoids (Table II).

Table II: Phytochemicals of G. ferox

Chemical groups Fruit Stem Leaf
Alkaloids + + +
Saponins + + +
Quinones - - -
Coumarin + + +
Tannins + + +
Flavonoids + + +
Anthocyanins - - -
Methanol extract of stem 49.0 0.1  

Composition of aerial parts by HPLC-TOF/MS

Different extracts of G. ferox were analyzed by HPLC-TOF/MS method. The identification had been performed on the basis of their retention times and mass spectrometry by comparison with those of different standards. The results showed the presence of 44 compounds including 17 organic and phenolic acids (Table III), 27 flavonoids and phenolics (Table IV). Some of these compounds were present in very small quantity and it did not reach to the detection limits (trace) so their concentrations did not appear. The main constituens of G. ferox were obtained as fumaric acid, diosmetin, apigenin, scutellarin and apigenin-7-glucoside.

Table III: Quantitative results of organic and phenolic acids in plant extracts (mg phenolic/ kg plant)

Organic and phenolic acids RT (min) Leaf Stem
Butanol Chloroform Methanol Ethyl acetate Butanol Chloroform Methanol Ethyl acetate
Gallic acid 2.4 Trace Trace nd Trace Trace Trace Trace Trace
Fumaric acid 3.2 12.8 Trace 2.2 Trace 78.6 Trace Trace 6.6
Gentisic acid 4.5 1.6 0.0 0.8 0.7 11.3 0.1 3.5 2.5
Chlorogenic acid 5.5 0.3 0.0 nd nd nd 0.1 nd nd
4-Hydroxybenzoic acid 7.0 1.6 0.0 1.0 3.2 5.0 0.5 3.2 6.5
Protocatechuic acid 7.1 2.1 0.1 2.3 0.3 11.0 0.2 7.2 0.7
Caffeic acid 7.6 Trace Trace Trace 0.3 0.1 Trace Trace 0.7
Vanillic acid 7.9 3.1 0.5 nd 3.3 10.8 1.3 nd 7.8
Syringic acid 8.1 1.4 0.1 nd 0.4 8.6 0.4 nd 1.0
4-Hydroxybenzaldehyde 9.4 Trace 0.1 Trace 0.1 Trace 1.0 Trace 0.0
Ellagic acid 9.7 Trace Trace Trace Trace Trace Trace nd Trace
Sinapic acid 10.5 Trace Trace Trace Trace Trace 0.0 Trace 0.1
Ferulic acid 10.6 nd 0.5 nd 5.2 nd 3.6 nd 8.9
p-Coumaric acid 12.1 Trace Trace Trace Trace Trace trace Trace Trace
Protocatechuic acid ethyl ester 12.8 Trace Trace Trace Trace Trace 0.0 Trace Trace
Salicylic acid 13.1 1.7 Trace Trace 0.9 5.5 0.5 Trace 2.7
Cinnamic acid 15.2 0.5 0.6 0.9 0.1 nd 0.4 3.6 nd
Total organic and phenolic acids 25.1 1.9 7.2 14.5 130.9 8.1 17.5 37.5

Table IV: Quantitative results of flavonoids and phenolics in plant extracts (mg phenolic/ kg plant)

    Leaf Stem
Flavonoids and phenolics RT (min) Butanol Chloroform Methanol Ethyl acetate Butanol Chloroform Methanol Ethyl acetate
Catechin 5.8 0.7 nd nd nd nd 0.1 nd nd
Rutin 9.2 0.1 Trace 3.2 0.0 0.0 Trace 0.4 0.1
Polydatin 9.6 2.9 Trace Trace 0.9 Trace 0.2 Trace 0.9
Scutellarin 9.7 0.3 nd Trace 1.0 66.1 Trace 5.8 5.6
Quercetin-3-β-D-glucoside 9.8 Trace nd Trace Trace 14.0 Trace Trace Trace
Naringin 10.5 0.6 0.0 0.2 0.1 6.2 0.2 0.5 0.3
Diosmin 10.6 2.5 0.1 nd 0.5 13.6 0.4 nd 1.0
Taxifolin 10.6 nd Trace Trace 0.3 Trace Trace Trace 1.0
Hesperidin 10.8 Trace Trace Trace Trace Trace Trace Trace 0.0
Apigetrin 10.9 Trace Trace Trace 0.7 16.1 Trace 1.1 3.3
Neohesperidin 11.1 Trace Trace Trace Trace Trace Trace Trace Trace
Myricetin 11.9 nd Trace Trace Trace Trace 0.2 Trace Trace
Baicalin 12.0 Trace Trace Trace Trace Trace Trace nd Trace
Fisetin 12.1 Trace Trace Trace Trace Trace Trace Trace 0.8
Morin 13.0 0.8 0.1 1.5 0.2 5.0 0.1 6.4 1.2
Resveratrol 13.0 Trace Trace nd Trace Trace Trace nd Trace
Quercetin 14.0 Trace Trace Trace Trace Trace Trace Trace Trace
Silibinin 15.1 Trace Trace nd trace nd Trace nd Trace
Apigenin 15.6 0.0 1.7 59.6 11.8 62.5 18.9 343.1 43.8
Naringenin 15.7 Trace Trace Trace 0.1 Trace 1.1 Trace 0.2
Kaempferol 15.7 nd Trace Trace 0.1 Trace 0.2 2.5 0.7
Diosmetin 16.1 nd 0.0 6.7 0.1 nd 0.2 51.7 0.9
Neochanin 17.7 nd Trace Trace Trace nd Trace Trace Trace
Eupatorin 18.9 nd Trace Trace Trace nd Trace Trace nd
Wogonin 19.8 Trace Trace Trace Trace nd Trace Trace Trace
Galangin 20.5 nd Trace Trace Trace Trace Trace Trace Trace
Biochanin A   nd nd Trace Trace Trace nd trace trace
Total flavonoids and phenolics   7.9 1.9 71.2 15.8 183.5 21.6 411.5 59.8

The apigenin (contain the highest concentration in methanol extract) was the main component of other extracts except butanol. Fumaric acid was the major compound of n-butanol extracts. Ethyl acetate extract contained the highest concentration of apigenin, ferulic acid, vanillic acid, 4-hydroxybenzoic acid and scutellarin. In total, methanol and n-butanol extract of stem had highest concentrations in phenolic quantities.

Determination of antioxidant activity

Total polyphenol and flavonoid contents

The amount of total phenolic and flavonoid contents measured by Folin-Ciocalteu and aluminum trichloride methods, varied considerably between different extracts and ranged from 105.2 ± 0.6 to 308.5 ± 5.7 mg GAE/g for total phenolic  and from 8.1 ± 0.1 to 124.0 ± 0.7 mg QE/g for flavonoids (Table V). The highest concentrations of both total phenolic and flavonoids were found in ethyl acetate extract of both stem and leaf, respectively.

Table V: Total phenolic and flavonoid values of G. ferox

Extract   Total phenolic content
(mg GAE/g)
Flavonoid content
(mg QE/g)
Chloroform Leaf 172.1 ± 0.5 48.5 ± 0.2
Stem 190.6 ± 5.9 30.7 ± 0.4
Ethyl acetate Leaf 182.9 ± 0.8 124.0 ± 0.7
Stem 308.5 ± 5.7 92.2 ± 0.1
n-Butanol Leaf 105.2 ± 0.6 8.1 ± 0.1
Stem 144.3 ± 0.02 11.6 ± 0.1

DPPH radical scavenging

The most effective DPPH radical scavenging was shown by both ethyl acetate extracts of leaf and stem compared to ascorbic acid used as a standard (Figure 1). Similarly, highest total phenolic content was found in ethyl acetate extract from the stem.

Figure 1: DPPH scavenging activity of different extracts of Genista ferox and ascorbic acid as a standard

Ethyl acetate extract of both leaf and stem exhibited the highest antioxidant activity with an IC50  (14.2 ± 0.02 and 14.9 ± 0.1) µg/mL, respectively. On the other hand, n-butanol extract exhibited the lowest antioxidant activity with an IC50 of 55.5 ± 0.2 and 52.5 ± 1.0 µg/mL, respectively.

Anti-proliferative activity

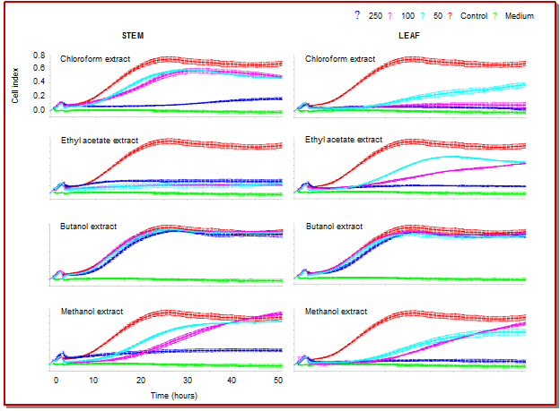
Figure 2 shows the results of real-time monitoring (xCELLigence RTCA SP, ACEABIO) of the proliferation of HeLa cells treated with different solvent extracts obtained from G. ferox. These antiproliferative activity results are different due to the phytochemical composition of several solvent extracts of G. ferox. The cell index results provide a clear evidence that the antiproliferative activities of all solvent extracts were similar, except for n-butanol extracts, which are inactive. HeLa cells were inhibited by chloroform, ethyl acetate and methanol extracts at high concentration (250 ug/mL), while low activities were obtained at 100 and 50 ug/mL concentrations of these extracts in a time-dependent manner. Although the antiproliferative activity of ethyl acetate extract of stem and chloroform extract of leaf increased at concentrations of 100 and 250 ug/mL. Higher activities were obtained only at 250 ug/mL for chloroform (stem), methanol (stem), ethyl acetate (leaf) and methanol (leaf) extracts. n-Butanol extracts of stem and leaf showed no activity at any concentrations. Apigenin is the major component for methanol (stem), n-butanol (stem) and ethyl acetate (leaf) extracts (Table IV). Diosmetin was the major component for methanol extracts. According to the quantitative results, n-butanol extract of stem had high phenolic standards. It had no antioxidant and antiproliferative activities. In addition, although ethyl acetate extract of stem had low phenolic standards. It had highest antioxidant and antiproliferative activities.  

Figure 2: Proliferation assays of stem (left column) and leaf (right column) extracts at various concentrations (µg/mL)

Discussion

The phytochemical studies of G. ferox revealed the presence of phenolic compounds synthesized in the secondary metabolism of the plant are known by their active substance; for that reason the antioxidant and antiproliferative activities were studied for extracts of G. ferox. The results confirmed that chloroform, ethyl acetate, n-butanol and methanol extracts of leaf and stem did not demonstrated the similar activities. Ethyl acetate extracts exhibited the highest antioxidant activities whereas n-butanol extracts exhibited the lowest antioxidant activities.

The strong positive correlations between DPPH radical scavenging activity and total phenolic and flavonoid contents were obtained. The results of ethyl acetate extracts showed the highest antioxidant activities. The antioxidant activity may be due to one or more of these compounds and there are several studies in recent years about the antioxidant activities of phenolic acids (Fukumoto and Mazza, 2000; VillaËœno et al., 2005). EAS have low phenolic standards; it has highest antioxidant and antiproliferative activities. As the reason for this, it may be due to the unknown compounds.

The coordination between anti-cancer activity and phenolic compounds seems to depend on the chemical properties of the natural products and the cancer cells. Many secondary metabolites as polyphenols and flavonoids have been reported to retain proliferation and angiogenesis of cancer cells in vitro. The anticarcinogenic activity of G. ferox may be due to synergistic effects of these bioactive compounds.

Conclusion

G. ferox possesses significant antioxidant and antiproliferative activities in some solvent extracts, establishing the ethnopharmacological basis for the use of this plant in traditional medicine. The cell index results of G. ferox extracts provide clear evidence that the antiproliferative activities of all solvent extracts are higher, except for n-butanol extracts of leaf and stem against HeLa cells.

References

Abay G, Altun M, Koldas S, Tufekci AR, Demirtas I. Determination of antiproliferative activities of volatile contents and HPLC profiles of dicranumscoparium (Dicranaceae, Bryophyta). Comb Chem High T Scr. 2015; 18: 453-63.

Belle R, Barrachina MD, Martinez-Cuesta MA, Esplugues J. Pharmacological screening of the methanol and dichloromethanol extracts of Genista patens. Phytotherapy Res. 1995; 9: 495-99.

Ciulel I. Methodology for analysis of vegetable drugs. Romania, 1982.

Demirtas I, Gecibesler IH, Yaglioglu AS. Antiproliferative activities of isolated flavone glycosides and fatty acids from stachysbyzantina. Phytochem Lett. 2013; 6: 209-14.

Djeridane A, Yousfi M, Nadjemi B, Boutassouna D, Stocker P, Vidal N. Antioxidant activity of some algerian medicinal plants extracts containing phenolic compounds. Food Chem. 2006; 97: 654-60.

Dzoyem JP, McGaw, LJ, Eloff1 JN. In vitro antibacterial, antioxidant and cytotoxic activity of acetone leaf extracts of nine under-investigated Fabaceae tree species leads to potentially useful extracts in animal health and productivity. BMC Complement Altern Med. 2014.

Erbil N, Duzguner V, Durmuskahya C, Alan Y. Antimicrobial and antioxidant effects of some Turkish fodder plants belongs to Fabaceae family (viciavillosa, trifoliumo-chroleucum and onobrychisaltissima). Orient J Chem. 2015; 31: 53-58.

Fukumoto LR, Mazza G. Assessing antioxidant and prooxidant activities of phenolic compounds. J Agric Food Chem. 2000; 48; 3597-604.

Herrera MD, Marhuenda E, Gibson A. Effects of genistein, an isoflavone isolated from genista trident ata, on isolated guinea-pig ileum and guinea-pig heal myenteric plexus. Planta Med. 1992.

Krishnaiah D, Sarbatly R, Nithyanandam R. A review of the antioxidant potential of medicinal plant species. Food and Bioproducts Processing, 2011; 217-33.

LingaRao M, Savithramma N. Phytochemical studies of svensoniahyderobadensis (Walp.) Mold: A rare medicinal plant. Pharm Lett. 2011; 3: 51-55.

Obasi Nnamdi L, Egbuonu A, Ukoha P, Ejikeme P. Comparative phytochemical and antimicrobial screening of some solvent extracts of samaneasaman (Fabaceae or mimosaceae) pods. Afr J Pure Appl Chem. 2010; 4: 206-12.

Ordonez AAL, Gomez JD, Vattuone MA, Isla MI. Antioxidant activities of sechiumedule (Jacq.) Swartz extracts. Food Chem. 2006; 97: 452-58.

Okten S, Erenler R, Koprulu TK, Tekin S. In vitro antiproliferative/cytotoxic activity of 2,3'-biindole against various cancer cell lines. Turk J Biol. 2015; 39: 15-22.

Quezel PS, Santa S. New flora of Algeria and the southern desert regions. Vol 2. Paris, Tela Botanical Association, 1963 (In French).

Re RM. Flore De Lafraque Du Nord.1987; 16.

Saeed N, Khan MR, Shabbir M. Antioxidant activity, total phenolic and total flavonoid contents of whole plant extracts Torilisleptophylla L. BMC Complement Altern Med. 2012; 12: 221.

Singleton V, Rossi JA. Colorimetry of total phenolics with phosphomolybdic-phosphotungstic acid reagents. Am J Enol Viticult. 1965; 16: 144-58.

Takao T, Kitatani F, Watanabe N, Yagi A, Sakata K. A simple screening method for antioxidants and isolation of several antioxidants produced by marine-bacteria from fish and shellfish. Biosci Biotech Bioch. 1994; 58: 1780-83.

Villa'no De, Fern'andez-Pach´on MS, Troncoso AM, Garc´ia-Parrilla MC. Comparison of antioxidant activity of wine phenolic compounds and metabolites in vitro. Anal Chim Acta. 2005; 538: 391-98.

Published
2017-07-20

Apply citation style format of Bangladesh Journal of Pharmacology

Section
Research Articles
Financial Support
Algerian Ministry of Higher Education, Turkish State Planning Organization (DPT2010K120720) and Cankiri Karatekin University
Conflict of Interest
Authors declare no conflict of interest
Video Clip of Methodology