Studies on racemic triglycerides as urease enzyme inhibitors
Abstract
Amidohydrolase enzymes regulate key pathways, and their dysregulation is linked to infection, immune imbalance, and metabolic dysregulation in cancer. Current inhibitors have issues of cost, environmental persistence, and toxicity. Here, triglyceride-derived inhibitors were investigated as low-cost, synthetically viable, and eco-friendly candidates targeting the metalloenzyme catalytic pocket of urease, a representative member of the amidohydrolase family. A cyclic triglyceride ester series (10a–c) were synthesized and characterized by standard spectroscopic methods. Racemic compound (10a) exhibited potent urease inhibition (IC₅₀ = 14.2 µM), surpassing thiourea (IC₅₀ = 21.6 µM). Molecular docking showed key interactions with CME592 and Arg439 residues in the catalytic pocket. To rank the (R) and (S) enantiomers, a molecular dynamics scoring approach was applied, integrating real-time hydrogen-bonding, Coulombic, and hydrophobic interactions. Both enantiomers showed comparable dynamic scores, validating the racemate’s activity. These findings suggest cyclic triglyceride scaffolds as promising inhibitors for urease and potential candidates for other amidohydrolase enzymes.
Introduction
Triglycerides of fatty acids, are fundamental components of oils, fats, and lipids in humans, animals, and plants. They are inexpensive and abundant making them ideal candidates for structural modification and diverse applications. The aliphatic polyol backbone of glycerol with three -OH groups containing backbone, allows synthetic utility for designing scaffolds for drug development. Similarly, benzoic acid and its derivatives, commonly found as natural metabolites in plants, animals, and microbial systems, occur widely in food sources such as fruits, nuts, vegetables, and seafood. Beyond their major role as food preservatives, benzoic acid derivatives show a diverse range of bioactivities, including antibacterial, antifungal, anti-inflammatory, and anti-protozoal effects (Chen et al., 2008). Clinically, benzoic acid derivatives such as mefenamic acid and meclofenamates are analgesics and anti-inflammatory agents used in osteoarthritis, rheumatoid arthritis, and other musculoskeletal conditions.
In this study, 4-(dimethylamino)benzoate was selected as the aryl acid due to its previously reported antibacterial and enzymatic inhibitory properties. The electron-donating dimethylamino (N(CH3)2) group enhances lipophilicity and also enables potential interaction with the active site, making it a suitable candidate for triglyceride scaffold functionalization (Sheikh and Kazmi, 2017).
The amidohydrolase enzymatic family plays a key role in diverse biological processes, including N2 metabolism, CO₂ regulation, and hydrolysis of amide (-CONH-) and ester (-COOR) bonds. Dysregulation of these enzymes is linked to multiple diseases; for instance, urease mediated survival of Helicobacter pylori contributes to gastric infections and ulcers, while other amidohydrolases like arginase and carbonic anhydrase contribute to cancer metabolism, immune suppression and pH homeostasis (Güzel-Akdemir and Akdemir, 2025); Grzywa et al., 2020). Hence, selective inhibition of amidohydrolases represents a promising therapeutic approach. The amidohydrolase family members shares struc-turally similar metalloenzyme catalytic residues across its members, including urease, arginase, and carbonic anhydrase.
Urease (urea amidohydrolase, E.C.3.5.1.5) is a metallo-enzyme produced by plants, animals, and microorganisms that catalyzes the hydrolysis of urea into NH3 and CO2. Over 50% of the global population harbors Helicobacter pylori, a Gram-negative bacterium that uses urease to colonize the stomach, leading to conditions such as gastric ulcer and urinary tract stone (Hooi et al., 2017). This study, therefore, explores novel triglyceride-based scaffolds for urease inhibition as a first step, aiming for low-cost, environmentally friendly alterna-tives to conventional inhibitors while targeting the conserved metalloenzyme catalytic pocket shared across the amidohydrolase family.
Safer and facile synthetic approaches using carbonyldi-imidazole were employed for triglyceride functionalization, offering structural adaptability and retrosynthetic simplicity for future diversification. Urease inhibition was assessed as a first step to validate the scaffold through bioactivity analysis, with extensive computa-tional studies used to explore broader inhibitory potential based on conserved residue interactions across the amidohydrolase family. By integrating structure-activity relationship analysis and molecular docking studies, this research identifies potent urease inhibitors and elucidates their mechanisms of action.
In this study, racemic triglyceride derivatives were syn-thesized as potential inhibitors of urease and structurally related amidohydrolases. Many commercial racemic drugs such as propranolol, ibuprofen, warfarin, ketamine etc. are effective, simpler to synthesize, with significantly reduced costs associated with enantiomeric resolution. Therefore, individual urease inhibitory activity of both enantiomers of the lead molecule (10a) was evaluated against thiourea as a standard reference, employing a molecular dynamics-based ligand scoring methodology as previously developed (Sheikh et al., 2024). This approach enables relative evaluation of enantiomers within the same dynamic environment, confirming whether the (±) racemate is sufficient for bioactivity or requires costly resolution into pure iso-mers and thus providing a foundation for future scaffold optimization.
Materials and Methods
Chemicals and apparatus
Solvents and reagents used in the synthesis scheme were of analytical grade. Cyclohexanecarboxylic acid, cyclopentanecarboxylic acid, cyclobutanecarboxylic acid, 1,1′-carbonyldiimidazole, tetrahydrofuran, triethylamine base, ethyl acetate, and jack bean urease enzyme were procured from Sigma-Aldrich, USA. Sodium carbonate was procured from Merck Millipore, Germany. The mass spectra were recorded on MAT 312 and MAT 113D mass spectrometers (Varian, USA). The IR spectra were recorded on a Bruker ATR-Alpha spectrophoto-meter (Bruker Optics GmbH, Germany). The ¹³C NMR spectra were recorded on a Bruker AVANCE NEO 400 MHz spectrometer (Bruker BioSpin GmbH, Germany) using CDCl₃ as solvent (Sigma-Aldrich, USA), while trimethylsilane [Si(CH₃)₄] (Sigma-Aldrich, USA) was used as an internal standard. Reaction progress was evaluated on thin-layer chromatography using Merck pre-coated silica gel 60 F₂₅₄ 20 × 20 cm aluminum sheets (Merck KGaA, Germany). Spots were visualized under UV light at 254 and 366 nm.
Synthesis of compounds (10a-c)
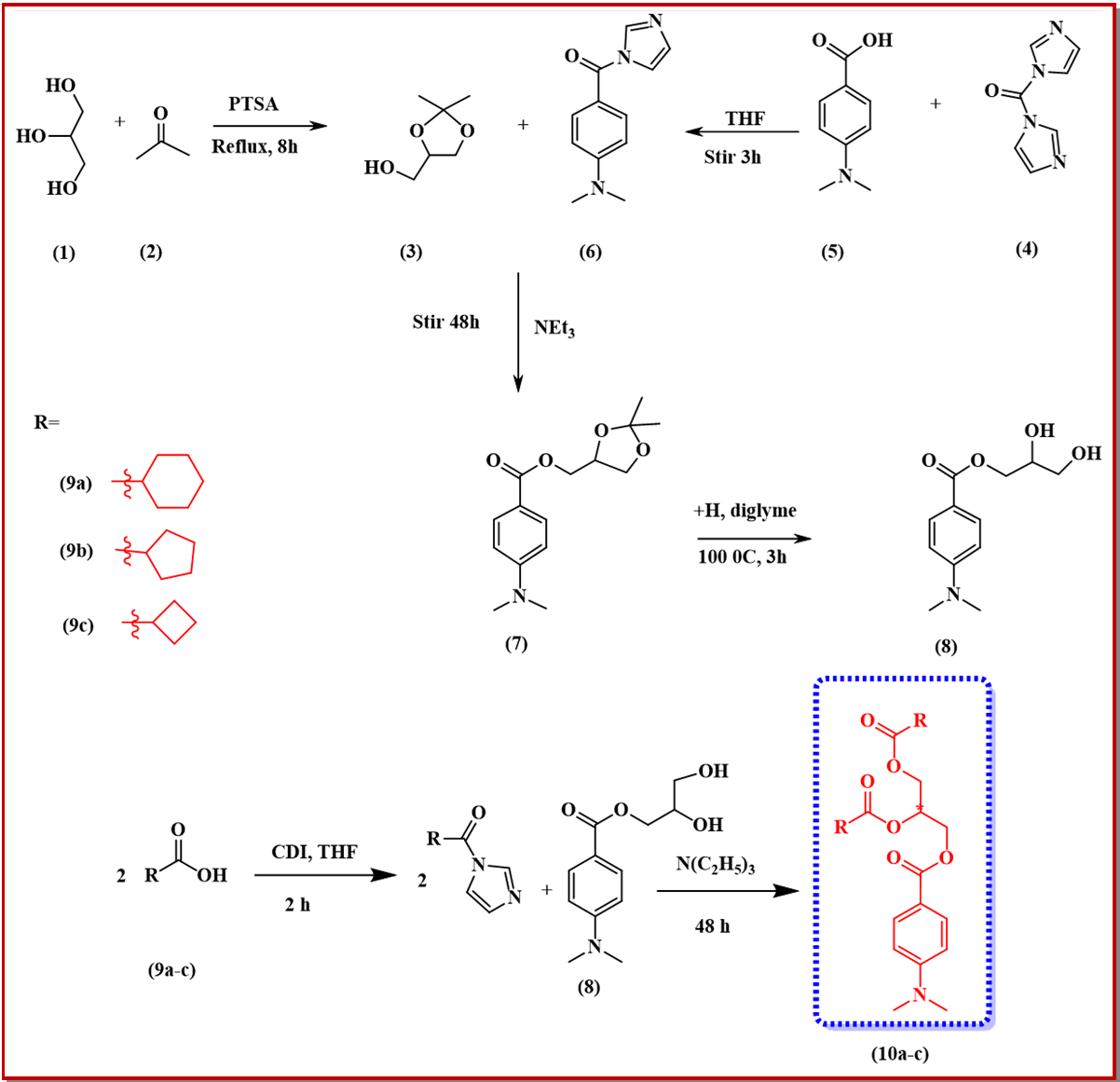
Monoglycerides were synthesized by esterification of partially protecting glycerol i.e. solketal (3) with 4-(dimethylamino) benzoic acid (6), followed by acidic deprotection to yield compound (8). Triglycerides (10a-c) were subsequently synthesized through esterification process using 1,1′-carbonyldiimidazole as an activating agent (Figure 1; Arshad et al., 2018). Synthesis scheme and characterization of compound (8) had been reported in previously reported derivatives (Sheikh and Kazmi, 2017). In a round-bottom flask, 10 mmol of acid (cyclohexanecarboxylic acid (9a), cyclopentanecarboxy-lic acid (9b), cyclobutanecarboxylic acid (9c), and 10 mmol of 1,1′-carbonyldiimidazole were added with 50 mL of tetrahydrofuran as a solvent. After 2 hours of stirring, 2.5 mmol of compound (8) was added into the reaction along with 0.52 mL of triethylamine base, and the reaction mixture was allowed to stir for 48 hours. During the reaction, comparative thin-layer chromatography was performed to monitor the reaction. After 48 hours, all solvent was evaporated, and 20 mL of 0.05 M solution of sodium carbonate was added to the dried reaction mixture. The organic layer was separated by liquid-liquid extraction using 3 x 25 mL of ethyl acetate. Evaporation of the solvent yielded the triesters (10a–c), which were further purified through column chromatography using silica gel 60 and an eluent system of hexane:ethyl acetate (8:2). The EI-MS, FT-IR, and 13C-NMR spectra along with the elemental analysis results are available in Figure S1-S9 and Table S1 in supplementary data. The atomic labels are provided Table S2 in supplementary data.
Urease inhibition activity
Figure 1: Synthesis scheme of mixed triglyceride (10a-c). The boxed structure highlights the general scaffold of compound 10, showing variable acyl groups (R) derived from 9a–c
Jack bean urease enzyme (50,000-10000 U/g, 25 μL) was used at a final concentration of 0.02 U/well. This was mixed with 55 μL of buffers containing 100 mM urea and were incubated with 5 μL of test compounds (10a-c; 1 mM concentration) at serially diluted concentrations ranging from 1 mM to 1 μM in 96-well plates at 30°C for 15 min. IC₅₀ values were calculated via non-linear dose-response regression using GraphPad Prism 9.0. Urease inhibition was assessed by measuring ammonia production via the indophenol method described previously (Weatherburn, 1967). All reactions were performed in triplicate in a final volume of 200 μL. Rate of change of absorbance (per min) was observed on using SoftMax Pro software (molecular device, USA). All of the assays were performed at pH 8.2 (0.01 M K2HPO4.10 H2O, 1 mM EDTA, and 0.01 M LiCl2).
%Inhibition was calculated from the formula:
= 100 – (ODtestwell/ODcontrol) x 100
Thiourea was used as the standard or control inhibitor of urease. IC₅₀ values remained consistent across triplicated assays, and dose-response consistency was verified within the standard error range. Replication under identical assay conditions was expected to yield comparable values.
Docking study
The jack bean urease containing acetohydroxamic acid, was retrieved from the Protein Data Bank (PDB ID: 4H9M), with a resolution of 1.52 Å, determined X-ray diffraction. The PDB file was assessed for quality using a Ramachandran plot (Ramachandran et al., 1963), which showed 91.1% of residues in the most favored regions and 8.9% in additionally allowed regions, with no residues in disallowed regions, indicating a high-quality receptor structure for molecular docking studies. The original bound ligands including acetohydroxamic acid, 1,2-ethanediol, Ni²⁺ ions, and H2O molecules were removed during receptor preparation to avoid interference with ligand binding analysis. H atoms were added using Discovery Studio (Version 2021) to complete the receptor and simulate a physiological binding environment (Wang et al., 2015). The binding coordinates were derived from the active site location of the co-crystallized ligand (size: 30 30 30, center: 25.0 -54.0 -25.0). The optimized and preprocessed receptor was saved as a PDB file for docking input. To perform ligand-protein docking, the AutoDock Vina was employed (Gaillard, 2018). Energy minimized ligands (10a-c) were converted into PDBQT format using AutoDock tools, with Gasteiger charges and rotatable bonds. A grid box was defined around the binding site of acetohydroxamic acid to encompass the key catalytic residues. Each ligand was allowed to adapt multiple conformations within the defined binding pocket. Docking was conducted using default exhaustiveness parameters, and binding energies were ranked based on the lowest predicted binding free energy (ΔG, kcal/mol). Docked complexes were visualized on UCSF Chimera (Jonathan et al., 2015) and Discovery Studio Visualizer. All docking data and ligand–protein interaction files are provided in the dataset.
Molecular dynamics-based scoring
Molecular dynamics run, static factor calculation and normalization
Molecular dynamics simulations were performed using the GROMACS software package (Lemkul, 2019) to assess the stability of docking poses of ligands 10a(R), 10a(S), and thiourea, within the defined catalytic pocket of the 4H9M (supplementary S1–S19). The CHARMM2021 force field was used to parameterize and generate the topologies and coordinate files for both the receptor and the ligands (Vanommeslaeghe et al., 2010). The receptor-ligand complex was centered in a cubic box, with a minimum distance of 1 nm between the complex and box edges, ensuring at least a 2 nm boundary clearance. The solvated system was neutralized with Na+ counter ions and TIP3P H2O molecules for solvation. The solvated complex underwent energy minimization using steepest descent and conjugate gradient protocols until a maximum force threshold of 10 kJ/mol/nm was achieved. The minimized system was then equilibrated in an NVT ensemble at 300K, followed by an NPT equilibration at 500 psi. This equilibrated setup was subsequently subjected to a 15 nsec long molecular dynamics simulation, maintaining standard electrostatic and van der Waals cutoffs. The calculated properties and their plots, including hydrogen-bonds, hydrophobic interactions, and interaction energies i.e. Lennard Jones (ELJ) and Coulombic (EC) were extracted from the resulting trajectory files using a set of GROMACS specific Linux commands also given in the [(Equations S20–S27 and Figure S12–S14 in supplementary data). Dynamic molecular dynamics property plots were extracted from GROMACS trajectory files (.xtc) and visualized using Matplotlib for comparative analysis (Han and Kwak, 2023). The dataset includes all necessary molecular dynamics calculation files for validation and analysis including the molecular dynamics trajectory file (.xtc), final system structure (.pdb), computed molecular dynamics properties data (.xvg), and their plots (.csv). Additionally, input files (.tpr, topol.top, md.mdp, index.ndx, npt.gro) are provided to enable reproduction of the molecular dynamics analysis. These files can be used to re-run calculation of number of hydrogen-bonds (within 0.35 nm), hydrophobic interactions, and interaction energies (ELJ and EC).
Static factors, such as standard deviation and averages were calculated for each molecular dynamics property i.e. hydrogen-bonds, hydrophobic interactions, and interaction energies i.e. Lennard Jones (ELJ) and Coulombic (EC) energies. This provided a single representative value for the dynamic data of the molecular dynamics simulation (supplementary Table S3).
To ensure comparability across a range of (static factors of) molecular dynamics properties with different magnitudes and units, Normalization was applied on a scale of 1-10, to each molecular dynamics property derived static factor (supplementary Table S3). The normalization formula depended on whether a higher or lower value indicates a favorable ligand performance:
If a lower value of static factor is preferred, as in the case of standard deviations of all molecular dynamics properties used in scoring function 1, the following equation was used:
1—(Static factor—minimum value)
Normalized value = (Eq. 1)
Maximum value—minimum value
If a higher value of static factor is preferred, as in the case of averages of hydrogen-bonds in calculation of scoring function 2, the following equation is used:
Static factor—minimum value
Normalized value = (Eq. 2)
Maximum value—minimum value
Principal component analysis and weight assignment
Principal component analysis was applied using the Python scikit-learn library to the normalized static factors to reduce dimensionality while retaining the maximum variance across the data. Variance explained by each component was visualized as a bar plot, while the principal components loadings were plotted using Matplotlib and Seaborn for data interpretation (Han and Kwak, 2023; Jolliffe and Cadima, 2016). This transformation converted the normalized static factors of molecular dynamics properties into a set of linearly uncorrelated principal components (PCs), each representing an independent axis of variance within the Data. All three PCs (PC1-PC3) were used to capture 100% of the total variance. The variance explained by each principal component is summarized in (supplementary Table S4). The loadings of each molecular dynamics property on the principal components were calculated to quantify their contribution to the overall variance. To eliminate directional influence on weight calculations, the loadings were converted to absolute values. Min-max normalization (0 to 1) was then applied to the loadings across components, ensuring uniform comparability. The principal component analysis variance distribution and principal component loadings for scoring function 1 and 2 are shown in supplementary Figure S15–S19.
To calculate weights, the normalized loadings of each molecular dynamics property were summed across all three PCs to capture their cumulative contribution. This ensured that the influence of each property was based on its total variance explanation, rather than being dominated by a single principal component. The summed loadings were then re-normalized again using min-max scaling (0 to 1) to standardize their range and ensure uniform scaling of weights. A final normalization step was performed to ensure that the combined weights summed to unity, maintaining a consistent weighting scheme across properties. The dual normalization process, first at the loading level and then at the weight level, ensured that weights accurately reflected the relative importance of each molecular dynamics property. The final weights (supplementary Table S5) highlight the properties with the greatest influence on ligand performance. These weights were subsequently applied to calculate the final scores for each ligand. The entire Python code for principal component analysis, principal component loadings, weights for scoring function 1 and 2 including is available in supplementary data.
The final score for ligands (10a(R), 10a(S), and thiourea was calculated by summing the product of each normalized molecular dynamics property static factor and its respective weight, separately for scoring function 1 (fluctuation of interaction) and scoring function 2 (strength of interaction) using the following equation:
Score = ∑(normalized static factor x weight) (Eq. 3)
Scoring function 1 and 2 (fluctuation and strength of interaction) were determined through standard deviation and average of hydrogen-bonds, Lennard Jones (ELJ), Coulombic (EC) and hydrophobic interactions, respectively. The higher scores indicated more favorable attributes for interaction. The calculation data files (.csv) containing static factors, normalization values, principal component (PC) variances, loadings, weights for all scoring functions, and final scores are available in the dataset. The entire computational methodology is shown in Figure 2.
Figure 2: Entire methodology of calculation of molecular dynamics-based scoring (A). Component molecular dynamics properties of scoring functions 2, and 3 (B)
Results
Spectroscopic characterization of compounds (10a-c)
All synthesized compounds (10a–c) were characterized using ¹³C NMR, FT-IR, EI-MS, and elemental analysis. Spectra are provided in the supplementary data along with more detailed discussion on structural elucidation approach. IR spectra identified functional groups such as ester carbonyls (C=O), aromatic rings (C=C), dimethylamino groups (C–N), and aliphatic/alicyclic chains (C–H) in the range of 400–4000 cm⁻¹. The ¹³C-NMR spectra showed downfield signals at δ 160–180 ppm which confirmed ester carbonyls, aromatic carbons appeared at δ 110–155 ppm, glycerol backbone carbons at δ 60–75 ppm, and alicyclic/methyl carbons at δ 20–45 ppm. Molecular ion peaks (M⁺) in EIMS confirmed molecular weights for (10a-c) and fragmentation patterns provided substituent positions. Elemental analysis (CHN) was used to validate the empirical formulae of all synthesized compounds.
3-(4-(Dimethylamino)benzoyloxy)propane-1,2-diyl dicyclo-hexane carboxylate (10a)
White solid; yield: 65 %; m.p. 122-124 oC; IR (KBr) νmax (cm-1): 2925 (C-H aliphatic), 1692 (C=O ester), 1608 (C=C aromatic), 1273 (C-O ester), 1205.94 (C-N amine), 1101 (C-O ether) cm-1; 13C-NMR (CDCl3, 100 MHz, 25 °C, TMS) δ (ppm): 25.73 (C₃₁, C₃₂, C₃₃, C₃₄, C₃₅, C₃₆ – 6C, s), 29.11 (C₂₇, C₂₈, C₂₉, C₃₀ – 4C, s), 40.21 (C₂₅, C₂₆ – 2C, s), 43.31 (C₂₄, C₂₄′ – 2C, d, J = 10.06 Hz), 62.41 (C₂₁, C₂₂ – 2C, s), 69.17 (C₂₀ – 1C, s), 110.56 (C₁₀, C₁₁ – 2C, s), 122.91 (C₁₂ – 1C, s), 130.71 (C₁₃, C₁₄ – 2C, s), 153.11 (C₁₅ – 1C, s), 166.31 (C₁₆ – 1C, s), 174.24 (C₁₇ – 1C, s), 175.61 (C₁₈ – 1C, s). EIMS: m/z (rel. abund. %), 459.3 (M+,38), 349.2 (35), 294.2 (16), 239 (7), 165.1(84), 148 (100), 120 (9), 83 (37); Anal. Calcd for C26H37NO6,: C, 67.95; H, 8.11; N, 3.05; O, 20.89; Found: C, 67.97; H, 8.13; N, 3.03; O, 20.90.
3-(4-(Dimethylamino)benzoyloxy)propane-1,2-diyl dicyclopentanecarboxylate (10b)
White solid; yield: 76 %; m.p. 108-112 oC; IR (KBr) νmax (cm-1): 2925 (C-H aliphatic), 1692 (C=O ester), 1608 (C=C aromatic), 1273 (C-O ester), 1205.94 (C-N amine), 1101 (C-O ether) cm-1; 13C-NMR (CDCl3, 500 MHz, 25 °C, TMS) δ (ppm): 25.91 (C₃₁, C₃₂, C₃₃, C₃₄ – 4C, s), 29.91 (C₂₇, C₂₈, C₂₉, C₃₀ – 4C, s), 40.21 (C₂₅, C₂₆ – 2C, s), 44.41 (C₂₄, C₂₄′ – 2C, s), 62.41 (C₂₁, C₂₂ – 2C, s), 69.17 (C₂₀ – 1C, s), 110.56 (C₁₀, C₁₁ – 2C, s), 122.91 (C₁₂ – 1C, s), 130.71 (C₁₃, C₁₄ – 2C, s), 153.11 (C₁₅ – 1C, s), 166.31 (C₁₆ – 1C, s), 171.51 (C₁₇, C₁₈ – 2C, s).; EIMS: m/z (rel. abund. %), 459.3 (M+,38), 349.2 (35), 294.2 (16), 239 (7), 165.1(84), 148 (100), 120 (9), 83 (37); Anal. Calcd for C₂₄H₃₃NO₆,: C, 67.95; H, 8.11; N, 3.05; O, 20.89; Found: C, 67.97; H, 8.13; N, 3.03; O, 20.90.
3-(4-(Dimethylamino)benzoyloxy)propane-1,2-diyl dicyclobutanecarboxylate (10c)
White solid; yield: 69 %; m.p. 89-92 oC; IR (KBr) νmax (cm-1): 2937 (C-H aliphatic), 1693 (C=O ester), 1607 (C=C aromatic), 1272 (C-O ester), 1179 (C-N amine), 1102 (C-O ether) cm-1; 13C-NMR (CDCl3, 500 MHz, 25 °C, TMS) δ (ppm): 18.52 (C₂₅, C₂₆ – 2C, s), 24.95 (C₂₃, C₂₄, C₂₇, C₂₈ – 4C, s), 34.11 (C₂₁, C₂₂ – 2C, s), 40.21 (C₂₀, C₂₀′ – 2C, s), 62.41 (C₁₈, C₁₉ – 2C, s), 69.17 (C₁₇ – 1C, s), 110.56 (C₁₀, C₁₁ – 2C, s), 122.91 (C₁₂ – 1C, s), 130.71 (C₁₃, C₁₄ – 2C, s), 153.11 (C₁₅ – 1C, s), 166.31 (C₁₆ – 1C, s), 173.61 (C₈ – 1C, s), 175.11 (C₉ – 1C, s).; EIMS: m/z (rel. abund. %), 431.3 (M+,90), 417.3 (3), 318.2 (4), 266 (51), 165.1(52), 148 (100), 120 (9), 97.1 (24), 69.1 (72); Anal. Calcd for C22H29NO₆,: C, 66.80; H, 7.71; N, 3.25; O, 22.25; Found: C, 66.78; H, 7.70; N, 3.26; O, 22.28.
Urease inhibition activity
All compounds (10a–c) showed urease inhibition with IC₅₀ values ranging from 14.2 ± 0.7 µM to 28.5 ± 0.3 µM. Thiourea exhibited an IC₅₀ of 21.6 ± 0.1 µM. Compound (10a) showed the highest activity (IC₅₀ = 14.2 ± 0.7 µM), followed by compound (10b) (IC₅₀ = 22.5 ± 0.2 µM) and compound (10c) (IC₅₀ = 28.5 ± 0.3 µM). Percent inhibition at 1 mM concentration for each compound is provided in Table I.
Table I: Urease inhibition activity
| Compound | IC₅₀ (µM) | %Activity relative to thiourea | %Inhibition at 1 mM |
|---|---|---|---|
| 10a | 14.2 ± 0.7 | 152.1 | 98.5 |
| 10b | 22.5 ± 0.2 | 96.0 | 90.3 |
| 10c | 28.5 ± 0.3 | 75.8 | 83.4 |
| Thiourea | 21.6 ± 0.1 | 100.0 | 91.7 |
| Values are mean ± SD; n=3 | |||
Computational studies
Docking study
Docking with Jack bean urease complexed with acetohydroxamic acid showed that compound (10a) formed hydrogen bonds with CME592 (3.07 Å) and Arg439 (2.06 Å) and π-alkyl interactions with Ala440 and His492. Binding energies were: 10a(R) = −6.26 kcal/mol, 10a(S) = −5.86 kcal/mol, and thiourea = −3.26 kcal/mol (Figure 3). The strongest docked conformations for compounds 10a(R), 10a(S), and thiourea are illustrated (Figures S11).
Figure 3: Plot of docking binding energy of 10a(R), 10a(S) enantiomers and thiourea
Molecular dynamics-based scoring
Molecular dynamics simulations (15 nsec) were performed on 10a(R), 10a(S), and thiourea. Two scoring functions were calculated: scoring function 1 (interaction fluctuation) gave scores of 10a(R) = 0.890, 10a(S) = 0.879, thiourea = 0.099. Scoring function 2 (interaction strength) gave scores of thiourea = 0.643, 10a(R) = 0.441, 10a(S) = 0.232. Principal component analysis on normalized static factors revealed that interaction fluctuations were dominated by hydrogen-bond and hydrophobic-interaction variability, whereas interaction strength was mainly influenced by hydrogen-bond and electrostatic energy. The calculated scores for each enantiomer are presented in Table II, showing their relative effectiveness as amidohydrolase interactive agents.
Table II: Ligand ranking score
| Fluctuation of interaction | Strength of interaction | |
|---|---|---|
| 10a(R) | 0.8900 | 0.4415 |
| 10a(S) | 0.8794 | 0.2328 |
| Thiourea | 0.0990 | 0.6438 |
Discussion
All synthesized compounds (10a–c) showed stronger urease inhibition than thiourea, with compound (10a) as the most active, outperforming the thiourea, while compound (10c) was least active. The inhibition trend (10a > 10b > 10c) indicates that inhibition increased as the ring size of esterified acid decreased and thus, steric bulk of ring of the acyl substituent govern ligand–active site interactions. These experimental findings of triglyceride derivatives as effective urease inhibitors were further validated by molecular-dynamics based extensive scoring analyses, described below. Urease was selected as a representative amidohydrolase owing to its conserved catalytic pocket, enabling broader pharmacophore extrapolation for future studies.
Higher urease inhibition of synthesized compounds (10a-c) compared to thiourea emphasize the superior activity of cost and environment friendly pharmacophore of natural origin. These results were analyzed in context of previously reported or known urease inhibitors, including hydroxamate derivatives, phosphoramidates, urea derivatives, polyphenols, thiols, heavy metals, boric acid, and phosphates (Font et al., 2008; Zizian et al., 2012; Benini et al., 1998; Krajewska et al., 2004). Despite their efficacy, many existing inhibitors face limitations such as environmental hazards and high costs, highlighting the need for safer, low-cost alternatives such as the triglyceride-based scaffolds described here.
Moreover, previous literature (Kafarski and Talma, 2018) on urease inhibition lacks the detailed molecular dynamic based scoring analysis that are performed in this study to understand the mechanism and structural parameters controlling behind activity. This paves way for further lead optimization of the lead compound.
Conventional synthesis of triglycerides has relied on hazardous reagents such as thionyl chloride, oxalyl chloride, and phosphorus pentachloride or costly catalytic systems such as free CALB (Ravelo et al., 2015) and Zn carboxylates (Escorsim et al., 2019). In contrast, the 1,1′-carbonyldiimidazole-mediated approach used here offers a safer, cost-effective, and scalable synthetic route for generating structurally diverse triglyceride derivatives. 1,1′-Carbonyldiimidazole facilitated the reaction by introducing an imidazole group as a leaving group, facilitating the acyl addition-elimination mechanism. Glycerol, as starting material, provides the opportunity to synthesize a versatile pharmacophore through facile reactions. Glycerol's three hydroxyl (–OH) groups served as Lewis basic sites for esterification, resulting in the formation of triesters (10a-c). These compounds exhibited a chiral (C*) center; hence enantiomers exist. This synthesis scheme offers the potential for synthe-sizing further derivatives using higher polyols with additional -OH groups, which could yield structurally diverse and functionalized derivatives. Compounds (10a-c) were synthesized using cyclohexanecarboxylic acid (9a), cyclopentanecarboxylic acid (9b), and cyclo-butanecarboxylic acid (9c), respectively, as the acylating agents with variation in ring size. This allowed establishment of structure–activity relationship (QSAR) between ring size of substituted acid and bioactivity.
Synthesized compounds (10a-c) preferentially interacted with the active site flap residues, particularly Cys592 (CME592), which regulates active site conformation. Interactions with Arg439, Ala440, Gln635, Met637, and Gly638 were also noted. Compound (10a) formed strong hydrogen-bonds with CME592 and Arg439, alongside π-alkyl interactions with Ala440 and His492. These results are consistent with the previous literature on urease inactivation by natural products like quercetin, baicalin, and 1,4-benzoquinone, further confirming the results (Mazzei et al., 2016; Macomber et al., 2015; Tan et al., 2013). In terms of the binding energies of 10a(R), 10a(S), and thiourea, the R enantiomer exhibited the strongest binding, followed by the S enantiomer, while thiourea, despite its smaller size and deeper penetration into the catalytic core, showed a substantially weaker interaction, highlighting that both enantiomers contribute comparably to the potency of the racemate. Unlike thiourea, bulkier scaffold of compound (10a) interacts more extensively with the activesite flap residues CME592 and Arg439 key regions two key conserved residues within the catalytic pocket, providing mechanistic justification for enzyme inhibition and further validating the superior IC₅₀ of (10a).
Since the most active compound (10a) was formed as a racemate, it was necessary to check if both enantiomers give similar performance as ligands on urease, mole-cular dynamics simulations were conducted on pre-docked conformations of 10a(R), 10a(S), and thiourea, over a 15 nsec production run. This timeframe was selected to balance computational efficiency with sufficient conformational sampling and equilibration for evaluation of dynamic performance of ligand. To evaluate the individual urease inhibitory activity of both enantiomers of the lead molecules (10a) against that of thiourea, deep molecular dynamics based ligand scoring methodology was implemented, developed before (Sheikh et al., 2024). Unlike traditional static approaches such as docking, quantum mechanics (QM), and rule-based scoring, this molecular dynamic based scoring approach integrates real-time ligand-protein interaction for a more physiologically realistic assessment of ligand behavior. Traditional molecular dynamics simulations generate time-dependent interaction data that cannot directly compare ligands for ranking purposes. This approach overcomes this shortcoming by extracting dynamic properties including hydrogen-bonding, hydrophobic interactions, Lennard-Jones and Coulombic interaction energies, and transforming them into numerical scores through normalization and principal component analysis. This generates final scores in terms of both stability and strength of interaction with protein, thus giving an in-depth picture of individual ligand performance. This allows for a relative evaluation of both enantiomers within the same dynamic environment. Such dynamic evaluation also allows pharmacophore prioritization without physical resolution, offering a computational strategy applicable to other enantiomeric scaffolds targeting conserved enzyme pockets. This confirms whether the (±) racemate itself is sufficient for bioactivity or requires costly resolution into pure isomers. This insight establishes a foundation for further refinement and development of highly potent pharmacophore, enabling the optimization of molecular features that enhance selective efficacy. The molecular dynamics simulation converted static docking poses into realistic time-based dynamic models, enabling the ligands to adapt energetically favorable conformations within the binding pocket. The extracted properties from the dynamic run were grouped into two scoring functions. Scoring function 1 captured the fluctuation of interactions through standard deviations of number of hydrogen-bonds (within 0.35 nm), hydrophobic interactions, Lennard-Jones (ELJ), and Coulombic (EC) energies). Scoring Function 2 evaluated the strength of ligand-protein interactions using the averages of the same four molecular dyna-mics properties.
To assign a single numerical value to large time-based data of molecular dynamics properties, static factors were extracted as either standard deviations (to assess fluctuation) or averages (to assess magnitude) and were normalized to a scale of 0–1 (Eq. 1 and 2), depending on whether lower or higher values indicated better performance. Scoring function 1 assessed the consistency of ligand–protein interactions. Thiourea showed the most unstable interactions across hydrogen-bonds, hydrophobic interactions, and both energy terms. In contrast, both 10a(R) and 10a(S) maintained highly stable and consistent interaction profiles, reinforcing the functional viability of the (±) racemate. Scoring function 2 determines on the magnitude of interactions. While thiourea dominated in polar contacts such as hydrogen-bonds and electrostatic energy (EC), 10a(R) demonstrated stronger van der Waals and hydrophobic interactions. 10a(S) showed a weaker interaction profile overall, though again not significantly different from its enantiomer. These findings support the conclusion that the (±) racemic mixture of compound (10a) can act as a potent inhibitory agent without requiring enantiomeric resolution.
Principal component analysis was applied to the normalized static factors to evaluate the contribution of each molecular dynamics property to overall ligand performance. For each scoring function, three components (PC1–PC3) were retained, collectively explaining 100% of the variance. Principal component analysis loadings revealed that scoring function 1 (interaction fluctuations) were largely shaped by standard deviation of hydrogen-bond and hydrophobic interaction. Scoring function 2 (interaction strength) was mainly determined by averages of hydrogen-bond and electrostatic energy (EC). Weights for scoring were derived from normalized Principal component analysis loadings, ensuring that each property’s contribution was fairly represented across all variance components.
In terms of scoring function 1 (fluctuation of interac-tion) the highest score was observed for 10a(R) (0.890), followed closely by 10a(S) (0.879), indicating that both enantiomers formed relatively stable interactions with the protein throughout the simulation. Thiourea scored substantially lower (0.099), highlighting its poor interaction consistency. Scoring function 2 (strength of interaction) thiourea ranked highest (0.643), reflecting its favorable energetic profile despite interaction inconsistency. The enantiomer 10a(R) scored moderately (0.441), whereas 10a(S) had the lowest score (0.232), suggesting that while its interactions were consistent, they were energetically weaker overall. Taken together, these two scoring functions reveal a composite picture of ligand performance. 10a(R) combines consistent and strong interactions, emerging as a balanced candidate. 10a(S), has high interaction consistency, and fair level interaction strength. The similarity of their scores across all two scoring functions demonstrates the pharmacological viability of the racemic compound (10a), especially from a synthetic and cost-efficiency standpoint as both enantiomers being active negates the need for stereoselective synthesis or costly resolution. It must be men-tioned that while racemate activity is supported by in vitro data and molecular dynamics-based interaction profiling, further studies are needed to rule out enantiomer specific differences in pharmacokinetics, toxicity, and side effects. Assuming no such differences emerge, the racemate remains a cost-effective option. Additionally, the ability to synthesize this scaffold from achiral precursors without stereoselective synthesis or resolution supports its scalability potential.
Since the racemate of compound (10a) exhibited highly potent activity, it is quite likely that both enantiomers contribute to inhibition, which is consistent with the similar molecular dynamics-derived scores. Significant potential of the lead compound (10a) as racemate is confirmed through molecular dynamics simulations, as a scaffold for designing inhibitors that may also target other amidohydrolase enzymes, based on conserved binding site features that are observed in computational studies. The pharmacophore of compound (10a) exhibited superior binding affinity within the urease active site comprising of residues such as CME592 and Arg439. The strong interactions, including Hydrogen-bonding, π-π stacking, and hydrophobic contacts. Enzymes within the amidohydrolase family, such as arginase, carbonic anhydrase, and other metal-dependent hydrolases, share same pockets with metal coordination centers and substrate-binding residues, positioning (10a) and its derivatives as promising candidates for broader amidohydrolase inhibition before further experimental validation. A deeper dynamic analysis is performed on two enantiomers of (10a), designated as 10a(R) and 10a(S) revealed that both 10a(R) and 10a(S) exhibited comparable interaction stability and strength, indicating that the racemic mixture of compound (10a) is itself highly active and does not require chiral resolution, making the compound more cost friendly and synthetically efficient scaffold. Furthermore, the insights gained from structure-activity relationship analyses revealed the important role of specific functional groups such as cyclic alkyl groups in enhancing bioactivity. These groups significantly contribute to hydrophobic and π-stacking interactions while optimized hydrogen-bond donors/acceptors further stabilize the ligand-enzyme complexes. The superior binding affinity and IC50 value of (10a) compared to thiourea strongly suggest that its pharmacophore could inhibit other enzymes with active sites resembling the CME592-Arg439 pocket in urease. This highlights the potential for developing derivatives that target enzymes implicated in metabolic, inflammatory, and microbial pathways.
Beyond biological activity and interaction rankings, translational relevance must also consider scaffold economy. While compound (10a) is more synthetically complex than thiourea, its high potency compared to thiourea, enhanced ligand-protein interaction profile as shown through static docking and molecular dynamics, and its naturally abundant triglyceride origin collec-tively support further studies and structural derivation.
The study was limited to the in vitro urease inhibition assays and molecular dynamics based interaction analysis. Although IC₅₀ values were determined, kinetic characterization of inhibition mechanism e.g. via Lineweaver–Burk or Michaelis–Menten plots, longer duration molecular dynamics simulations, and in vivo analyses were not included within the present scope. The findings represent an initial experimental and computational validation of the racemic triglyceride scaffold as a urease inhibitor.
Conclusion
Facile synthesis of novel benzoic acid triglycerides gave lead compound (10a) that showed potent urease inhibition surpassing thiourea. Advanced molecular dynamics analyses based scorings revealed conserved catalytic pocket interactions and comparable activity of both 10a(R) and 10a(S) enantiomers, eliminating the need for chiral resolution. These findings establish the racemic scaffold as synthetically feasible, experimentally and computationally validated amidohydrolase inhibitor scaffold, providing a foundation for future translational studies.
References
Arshad T, Sheikh HK, Kazmi MH, Farheen S, Sohail T, Lateef M. New bioactive triaryl triglyceride esters: Synthesis, characterization, and biological activities. Bangladesh J Pharmacol. 2018; 13: 302-08.
Benini S, Rypniewski W, Wilson K, Ciurli S, Mangani S. The complex of Bacillus pasteurii urease with β-mercaptoethanol from X-ray data at 1.65 Å resolution. J Biol Inorg Chem. 1998; 3: 268-73.
Chen J, Cho J, Hwang T, Chen I. Benzoic acid derivatives, acetophenones, and anti-inflammatory constituents from Melicope semecarpifolia. Planta Med. 2008; 74: 1156-60.
Escorsim AM, Hamerski F, Ramos LP, Corazza ML, Cordeiro CS. Multifunctionality of zinc carboxylate to produce acylglycerols, free fatty acids and fatty acid methyl esters. Fuel. 2019; 244: 569-79.
Font MA, Domínguez MAJ, Sanmartín C, Palop JA, San-Francisco S, Urrutia O, Houdusse F, García-Mina JM. Structural characteristics of phosphoramide derivatives as urease inhibitors: Requirements for activity. J Agric Food Chem. 2008; 56: 8451-60.
Gaillard T. Evaluation of AutoDock and AutoDock Vina on the CASF-2013 benchmark. J Chem Inf Model. 2018; 58: 1697-706.
Grzywa TM, Sosnowska A, Matryba P, Rydzynska Z, Jasinski M, Nowis D, Golab J. Myeloid cell-derived arginase in cancer immune response. Front Immunol. 2020; 11: 938.
Güzel-Akdemir O, Akdemir A. Urease inhibitors for the treatment of H. pylori. Expert Opin Ther Pat. 2025; 35: 17-30.
Han S, Kwak IY. Mastering data visualization with Python: Practical tips for researchers. J Minim Invasive Surg. 2023; 26: 167.
Hooi JK, Lai WY, Ng WK, Suen MM, Underwood FE, Tanyingoh D and Ng SC. Global prevalence of Helicobacter pylori infection: Systematic review and meta-analysis. Gastroenterology 2017; 153: 420-29.
Jolliffe IT, Cadima J. Principal component analysis: A review and recent developments. Philos Trans A Math Phys Eng Sci. 2016; 374: 20150202.
Jonathan EC, Conrad CH, Thomas EF. RRDistMaps: A UCSF Chimera tool for viewing and comparing protein distance maps. Bioinformatics 2015; 31: 1484-86.
Krajewska B, Zaborska W, Chudy M. Multi-step analysis of Hg²⁺ ion inhibition of jack bean urease. J Inorg Biochem. 2004; 98: 1160-68.
Lemkul JA. From proteins to perturbed Hamiltonians: A suite of tutorials for the GROMACS-2018 molecular simulation package. Living J Comput Mol Sci. 2019; 1: 5068.
Macomber L, Minkara MS, Hausinger RP, Merz KM Jr. Reduction of urease activity by interaction with the flap covering the active site. J Chem Inf Model. 2015; 55: 354-61.
Mazzei L, Cianci M, Musiani F, Ciurli S. Inactivation of urease by 1,4-benzoquinone: Chemistry at the protein surface. Dalton Trans. 2016; 45: 5455-59.
Ramachandran GN, Ramakrishnan C, Sasisekharan V. Stereochemistry of polypeptide chain configurations. J Mol Biol. 1963; 7: 95-99.
Ravelo M, Fuente E, Blanco A, Ladero M, García-Ochoa F. Esterification of glycerol and ibuprofen in solventless media catalyzed by free CALB: Kinetic modelling. Biochem Eng J. 2015; 101: 228-36.
Sheikh HK, Kazmi MH. Synthesis of novel 1,2-diol containing azo dyes for polymeric substrates. J Chil Chem Soc. 2017; 62: 3496-500.
Sheikh HK, Padron J, Arshad T, Habib U, Hasan M, Khan H, Ayub K. New dynamic scoring method for deep evaluation of naloxegol as β-tubulin binding inhibitor. Pakistan J Pharm Sci. 2024; 37: 949-59.
Tan L, Su J, Wu D, Yu X, Su Z, He J, Wu X, Kong S, Lai X, Lin J, Su Z. Kinetics and mechanism study of competitive inhibition of jack-bean urease by baicalin. Sci World J. 2013; 2013: 1-9.
Vanommeslaeghe K, Hatcher E, Acharya C, Kundu S, Zhong S, Shim J, Darian E, Guvench O, Lopes P, Vorobyov I, Mackerell AD. CHARMM general force field: A force field for drug-like molecules compatible with the CHARMM all-atom additive biological force fields. J Comput Chem. 2010; 31: 671-90.
Wang Q, He J, Wu D, Wang J, Yan J, Li H. Interaction of α-cyperone with human serum albumin: Determination of the binding site by using discovery studio and via spectroscopic methods. J Lumin. 2015; 164: 81-85.
Weatherburn MW. Phenol-hypochlorite reaction for determination of NH3. Anal Chem. 1967; 39: 971-74.
Zizian H, Nabati F, Sharifi A, Siavoshi F, Mahdavi M, Amanlou M. Large-scale virtual screening for the identification of new Helicobacter pylori urease inhibitor scaffolds. J Mol Model. 2012; 18: 2917-27.
Apply citation style format of Bangladesh Journal of Pharmacology
Copyright (c) 2025 Hamdullah Khadim Sheikh, Tanzila Arshad, Haroon Khan, Uzma Habib, Cindy Juliet Cristancho Ortiz

This work is licensed under a Creative Commons Attribution-NonCommercial 4.0 International License.